2021年监理工程师合同管理备考已经开始,建设工程教育网准备合同管理入门测试卷一张,让考生自检目前学习水平,还在等什么~一起看看吧~
《土建目标控制》入门测试题
一、单项选择题
1.在正常使用条件下,工程应满足规定功能要求使用的年限,这是工程质量( )的表现。
A.适用性
B.耐久性
C.安全性
D.可靠性
2.质量标准是评价产品质量的尺度,工程质量是否符合合同规定的质量标准要求,应通过质量检查并与质量标准对照。这体现了工程质量( )的原则。
A.以合同为依据,坚持质量标准
B.坚持预防为主
C.坚持以人为核心
D.坚持质量第一
3.下列针对工程质量检测机构的说法,正确的是( )。
A.需要对涉及结构的装修项目抽样检测和对进入施工现场的建筑材料、构配件的见证取样检测
B.检测机构负责制定资质标准
C.市、县人民政府建设主管部门负责检测机构的资质审批
D.检测机构是具有独立法人资格的中介机构
4.收到建设工程竣工报告后,应当由( )组织有关单位进行竣工验收。
A.建设单位
B.监理单位
C.施工单位
D.设计单位
5.( )为组织如何达到基本要求及进一步保持和提高竞争力,取得持续成功,提供了许多可资借鉴的方法和途径。
A.ISO9000:2015
B.ISO9001:2015
C.ISO9004:2009
D.ISO19011:2011
6.在设备的使用中,监理人员也要对自己的监视和测量装置建立台账,具体管理过程有:①现场审核测量和监视装置的标识、贮存情况应符合要求;②确保产品符合规定要求需实施的测量和监视活动以及对所需装置进行识别,建立必要的控制过程;③对测量和监视装置偏离校准状态时,对先前测量结果的有效性评定与复评,依据复评结果采取相应的纠正措施;④建立测量和监视装置台账,编制周期检定(校准)计划并予以实施;⑤在监理规划中应明确配备的测量和监视装置并及时配备提供。正确的顺序是( )。
A.④②⑤①③
B.④⑤②①③
C.②⑤④③①
D.②⑤④①③
7.在正式运行阶段进行内部审核时,重点在( )。
A.普遍性
B.适用性
C.符合性
D.独立性
8.在收集质量数据中,当总体很大时,很难一次抽样完成预定的目标,此时,质量数据的收集方法宜采用( )。
A.分层随机抽样
B.简单随机抽样
C.系统随机抽样
D.多级抽样
9.在直方图的观察与分析中,由于组距不当造成的直方图呈( )。
A.折齿型
B.缓坡型
C.孤岛型
D.绝壁型
10.下列直方图中,已出现不合格品,必须采取措施进行调整的是( )。(T表示质量标准要求界限;B表示实际质量特性分布范围)
A.(a)
B.(b)
C.(c)
D.(d)
11.工程质量统计分析中,能随时判明生产过程中质量是否处于稳定状态的方法是( )。
A.控制图法
B.分层法
C.排列图法
D.相关图法
12.根据《建设工程监理规范》,工程施工采用新技术、新工艺时,应由( )组织必要的专题论证。
A.施工单位
B.监理单位
C.建设单位
D.施工单位
13.在工程施工质量控制的依据分类中,水泥安定性检验方法属于( )。
A.有关材料及其制品质量的技术标准
B.有关材料验收、包装、标志方面的技术标准和规定
C.有关材料搜集方面的规定
D.有关材料或半成品等的取样、试验等方面的技术标准或规程
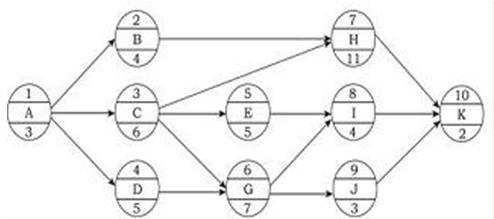
14.项目监理机构宜将审查施工单位施工组织设计的情况,特别是( )及时向建设单位通报,应将已审定的施工组织设计及时报送建设单位。
A.基础地基的情况
B.专项方案的情况
C.要求发回修改的情况
D.隐蔽工程的情况
15.质量合格的材料、构配件进场后,到其使用或安装时通常要经过一定的时间间隔。在此时间里,( )应对施工单位在材料、半成品、构配件的存放、保管及使用期限实行监控。
A.建设单位现场代表
B.总监理工程师
C.监理员
D.专业监理工程师
16.材料和商品构件运入现场后,应按规定的批量和频率进行抽样试验,不合格的材料或商品构件不准用于工程,属于( )。
A.见证取样
B.验证试验
C.标准试验
D.抽样试验
17.工程监理实施过程中,总监理工程师应签发工程暂停令的情形是( )。
A.施工单位未经批准擅自施工
B.施工存在质量事故隐患
C.施工单位采用不适当施工工艺
D.施工单位未按施工方案施工
18.对于建设规模较小、资料不多的监理项目,可以结合工程实际,指定( )名受过资料管理业务培训,懂得资料管理的监理人员兼职完成资料管理工作。
A.一
B.两
C.三
D.四
19.对于按照规定需要进行第三方监测的危大工程,( )应当委托具有相应勘察资质的单位进行监测。
A.监测单位
B.施工单位
C.监理单位
D.建设单位
20.建筑装饰装修工程的分项工程,一般按照( )划分检验批。
A.工程量
B.楼层
C.施工段
D.变形缝
21.根据施工质量验收的规定,施工现场质量管理检查记录表检验结果应由( )签字,然后由( )负责检查并做出检查结论。
A.施工单位项目负责人,总监理工程师
B.施工单位技术负责人,总监理工程师
C.施工单位项目负责人,专业监理工程师
D.施工单位技术负责人,专业监理工程师
22.对于计数抽样的一般项目,如有关专业验收规范无明确规定时,可采用一次抽样方案,也可由建设、设计、监理、施工等单位根据检验对象的特征协商采用( )。
A.调整型抽样方案
B.计数型抽样方案
C.二次抽样方案
D.多次抽样方案
23.在工程质量验收中,( )是指在下道工序施工后将被覆盖或掩盖,难以进行质量检查的工程。
A.检验批
B.隐蔽工程
C.一般项目
D.主控项目
24.单位工程竣工验收报审表中的预验收意见应由( )填写。
A.建设单位
B.监理单位
C.施工单位
D.质监部门
25.发包人根据确认的竣工结算报告向承包人支付工程竣工结算价款,保留( )左右的质量保证(保修)金。
A.5%
B.10%
C.15%
D.20%
26.某承包单位施工时,挡土墙不按图纸设置滤水层、排水孔,导致压力增大,墙体破坏或倾覆,此情况属于( )。
A.违背建设程序
B.违反法律法规
C.施工与管理不到位
D.操作工人素质差
27.在建设工程活动中,( )是指工程不符合国家或行业的有关技术标准、设计文件及合同中对质量的要求。
A.工程质量事故
B.工程质量责任
C.工程质量缺陷
D.工程质量因素
28.某工程施工中,由于施工组织不善,发生了质量事故,质量事故的处理方案一般由( )提出,经( )同意签认,并报( )批准。
A.施工单位,监理机构,建设单位
B.监理机构,原设计单位,建设单位
C.监理机构,建设单位,原设计单位
D.施工单位,原设计单位,建设单位
29.某些隐蔽部位结构混凝土表面裂缝,经检查分析,属于表面养护不够的干缩微裂,不影响使用及外观,则( )。
A.修补处理
B.返工处理
C.不做处理
D.通过后续工序弥补
30.工程质量事故发生后,项目监理机构应及时签发工程暂停令,要求施工单位采取( )的措施。
A.抓紧整改、早日复工
B.防止事故信息非正常扩散
C.对事故责任人进行监管
D.防止事故扩大并保护好现场
31.设备装配、试车和整机性能检测是设备制造质量的综合评定,( )应当组织专业监理工程师参加设备的调整试车和整机性能检测。
A.总监理工程师
B.项目技术负责人
C.项目经理
D.建设单位项目负责人
32.负责设备采购质量控制的监理人员应熟悉和掌握设计文件中设备的各项要求、技术说明和规范标准,对存在的问题通过( )向设计单位提出意见和建议。
A.施工单位
B.供货单位
C.建设单位
D.质检单位
33.建设工程项目的投资控制应贯穿于项目建设的全过程,下列选项中,就影响的可能性而言,最应当作为投资控制重点的是( )。
A.初步设计
B.技术设计
C.施工图设计准备
D.施工图设计
34.生产性建设工程项目总投资包括( )。
A.建设投资和建设期利息
B.建设投资、建设期利息和流动资金
C.静态投资和动态投资
D.固定资产投资和无形资产投资
35.根据《建设工程监理规范》(GB/T50319—2013),下列投资控制的相关工作中,属于监理在施工阶段工作的是( )。
A.根据勘察设计合同,协调处理勘察设计延期、费用索赔等事宜
B.处理施工单位提出的工程变更费用
C.协助建设单位组织专家对设计单位提出的新材料进行评审
D.对工程保修阶段的质量缺陷进行修复检查和费用核实
36.按费用构成要素划分的建筑安装工程费,对建筑以及材料、构件和建筑安装物进行一般鉴定、检查所发生的费用列入( )。
A.业主的研究试验费
B.承包商的其他直接费
C.承包商的企业管理费
D.承包商的措施费
37.生产职工培训费指的是自行培训、委托其他单位培训人员的工资、工资性补贴等,生产职工培训费属于( )。
A.与项目建设有关的其他费用
B.与未来企业生产经营有关的其他费用
C.企业管理费
D.措施费
38.某工程分项的分部分项工程费为400万元,其中定额人工费为100万元。措施项目费为分部分项工程费的5%,其他项目费为15万元;企业管理费费率为30%,利润率为5%,规费费率为8%,综合计税系数为9%。则该工程的招标控制价为( )万元。
A.467.30
B.482.87
C.497.20
D.515.46
39.关于进口设备交货类别中,买卖双方应承担的风险表述正确的是( )。
A.内陆交货类由卖方承担交货前的一切费用和风险
B.目的地交货类对买卖双方的风险做了合理均摊
C.装运港船上交货价是由卖方承担海运风险
D.采用装运港船上交货价时,由卖方负担货物装船后的一切风险
40.按我国现行建设工程投资的构成,建设工程总投资包括固定资产投资和( )。
A.建设期利息
B.基本预备费
C.涨价预备费
D.流动资产投资
41.甲建筑企业为增值税一般纳税人,2019年6月1日以清包工方式承接了某县的住宅楼工程,税前造价为2000万(包含增值税进项税额的含税价格),若该企业采用简易计税的方法,则应缴纳的增值税为( )万元。
A.220.0
B.198.2
C.58.3
D.60.0
42.筹集资金时必须做到以需定筹,这体现了项目资金筹措的( )。
A.规模适宜原则
B.时机适宜原则
C.经济效益原则
D.结构合理原则
43.在资金成本中,具有产品成本性质的部分应计入产品成本,另一部分应作为( )。
A.产品净收益
B.利润的分配
C.实收资本
D.未分配利润
44.在现金流量图中,现金流量发生的时间点是按照( )确定的。
A.年初时点
B.权责发生时点
C.资金收付的时间点
D.年末时点
45.现有甲乙两家银行可向借款人提供一年期贷款,均采用到期一次性偿还本息的还款方式。甲银行贷款年利率11%,每季度计息一次;乙银行贷款年利率12%,每半年计息一次。借款人按利率高低作出正确选择后,其借款年实际利率为( )。
A.11.46%
B.11.50%
C.12.00%
D.12.36%
46.某常规投资方案,当贷款利率为12%时,净现值为150万元;当贷款利率为14%时,净现值为-100万元,则该方案财务内部收益率的取值范围为( )。
A.<12%
B.12%~13%
C.13%~14%
D.>14%
47.2010年已建成年产50万吨的某化肥厂,其投资额为10000万元,2015年拟建生产80万吨的化肥厂项目,建设期2年。自2010年至2015年每年平均造价指数递增8%,预计建设期2年贷款利率递增0.5%,估算拟建化肥厂的静态投资额为( )万元。(生产能力指数n=0.8)
A.23594
B.21400
C.20494
D.24861
48.当建设项目只有一个单项工程时,采用二级预算编制形式,由建设项目总预算和( )组成。
A.分部工程预算
B.单项工程综合预算
C.单位工程预算
D.综合预算表
49.开展价值工程活动通常分为准备、分析、创新和实施4个阶段,下列选项中,属于分析阶段工作的步骤是( )。
A.制定工作计划
B.收集整理资料
C.提案编写
D.成果评价
50.根据《清单计价规范》,分部分项工程清单综合单价应包含( )以及一定范围内的风险费用。
A.人工费、材料和工程设备费、施工机具使用费、企业管理费、利润
B.人工费、材料费、施工机具使用费、企业管理费、规费
C.人工费、材料和工程设备费、施工机具使用费、规费、利润、税金
D.材料费、工程设备费、施工机具使用费、规费、税金、企业管理费
51.措施项目费中的( )应按照国家或省级、行业建设主管部门的规定计算,不作为竞争性费用。
A.脚手架工程费
B.二次搬运费
C.安全文明施工费
D.夜间施工增加费
52.当招标人要求总包人对其发包的专业工程既进行总承包管理和协调,又要求提供相应配合服务时,总承包服务费根据招标文件列出的配合服务内容,按发包的专业工程估算造价的( )计算。
A.1%~2%
B.2%~5%
C.3%~5%
D.4%~5%
53.在FIDIC施工合同下,发包人未能提供现场,则承包商有权索赔( )。
A.费用,但不包括工期
B.工期、费用,但不包括利润
C.工期,但不包括费用
D.工期、费用和利润
54.对于某项目的投资控制,总监理工程师将项目投资按照单项工程1#、单项工程2#等形式分解,这种分解类型是( )。
A.按投资构成分解
B.按子项目分解
C.按时间分解
D.按工作流程分解
55.下列关于现场签证的描述中,正确的是( )。
A.招标工程量清单中已有,但施工中发现与其不符,承包人及时向发包人提出签证确认
B.施工合同范围以内零星工程的确认属于现场签证的范围
C.完成其他非承包人责任引起的事件可以按计日工计价
D.合同工程发生现场签证事项,承包人可按计划组织施工
56.根据《建设工程工程量清单计价规范》(GB50500—2013),签约合同中的暂估材料在确定单价以后,其相应项目综合单价的处理方式是( )。
A.在综合单价中用确定单价代替原暂估价,并调整企业管理费,不调整利润
B.在综合单价中用确定单价代替原暂估价,并调整企业管理费和利润
C.综合单价不做调整
D.在综合单价中只应取代原暂估单价,不应再在综合单价中涉及企业管理费或利润
57.在建设工程进度控制计划体系中,根据工程项目总进度计划安排各个年度的投资,以便预测各个年度的投资规模,为筹集建设资金或与银行签订借款合同及制定分年用款计划提供依据的是( )。
A.投资计划年度分配表
B.工程项目进度平衡表
C.年度建设资金平衡表
D.年度计划项目表
58.建设工程进度计划的编制程序中,绘制网络图阶段的工作不包括( )。
A.进行项目分解
B.分析逻辑关系
C.绘制网络图
D.确定进度计划目标
59.建设项目总进度目标的控制是( )项目管理的任务。
A.业主方
B.监理方
C.设计方
D.施工方
60.某分部工程有3个施工过程,各分为4个施工段组织加快的成倍节拍流水施工,各施工过程的流水节拍分别为6天、4天和8天。则该分部工程的流水施工工期是( )天。
A.18
B.24
C.34
D.42
61.下列对于流水施工的各表达方式描述正确的是( )。
A.横道图绘制简单,时间和空间状况形象直观
B.垂直图中斜向线段表示施工过程或专业工作队的空间位置
C.横道图的横坐标表示流水施工所处的空间位置
D.垂直图编制实际工程进度计划比横道图方便
62.某分部工程有两个施工过程,分为4个施工段组织流水施工,流水节拍分别为3、4、4、6天和4、3、4、7天,则流水步距为( )天。
A.3
B.4
C.5
D.6
63.用来表达流水施工在施工工艺方面进展状态的参数是( )。
A.施工过程
B.施工段
C.流水步距
D.流水节拍
64.某工程网络计划中工作B的持续时间为5天,其两项紧前工作的最早完成时间分别为第6天和第8天,则工作B的最早完成时间为第( )天。
A.6
B.8
C.11
D.13
65.搭接网络计划时间参数的计算顺序正确的为( )。
A.最早开始时间后为自由时差
B.时间间隔后为最迟开始时间
C.最迟开始时间后为总时差
D.自由时差之后为最迟开始时间
66.在下图所示的双代号时标网络计划中,如果C、E、H三项工作因共用一台施工机械而必须顺序施工,则该施工机械在现场的最小闲置时间为( )周。
A.1B.2
C.3
D.4
67.双代号网络图以( )表示工作。
A.箭线及其两端节点的编号
B.两端节点的编号
C.箭线
D.箭线或其两端节点的编号
68.某工程双代号网络计划如下图所示,计算工期是( )天。
A.17
B.18
C.19
D.20
69.工程网络计划的工期优化通过( )来达到优化目标。
A.改变关键工作之间的逻辑关系
B.组织关键工作平行作业
C.组织关键工作搭接作业
D.压缩关键工作的持续时间
70.当某工程网络计划的计算工期等于计划工期时,该网络计划中的关键工作是指( )的工作。
A.时标网络计划中没有波形线
B.与紧后工作之间时间间隔为零
C.开始节点与完成节点均为关键节点
D.最早完成时间等于最迟完成时间
71.在工程网络计划实施过程中,如果发现某项工作进度出现拖延,则受影响的工作必然是该工作的( )。
A.先行工作
B.先做工作
C.后续工作
D.后做工作
72.某工作的计划进度与实际进度情况如图所示,从图中可以看出( )。
A.到第4天结束,本工作超额完成5%
B.第3天内,实际完成的任务量与计划完成的任务量相等
C.本工作未按计划完成
D.到第6天结束,本工作超额完成5%
73.工程项目实施进度的理想状态是任一时刻工程实际进展点应落在( )。
A.香蕉曲线图的范围之内
B.最迟开始时间范围之内
C.最早开始时间范围之内
D.最迟完成时间范围之内
74.进度计划执行中的跟踪检查的主要工作是( )。
A.实际进度数据的加工处理
B.定期收集反映工程实际进度的有关数据
C.现场实地检查工程进展情况
D.定期召开现场会议
75.监理单位接受建设单位委托进行工程设计监理时,为了有效地控制设计工作进度,应当( )。
A.编制工程设计作业进度计划
B.编制工程设计阶段进度计划
C.检查工程设计人员的专业构成情况
D.审查设计进度计划的合理性和可行性
76.影响设计进度的因素不包括( )。
A.工程延期的影响
B.设计审批时间的影响
C.设计各专业之间协调配合的影响
D.工程变更的影响
77.建设工程施工进度控制工作从审核承包单位提交的施工进度计划开始,直至建设工程( )为止。
A.竣工验收合格
B.提交竣工验收报告
C.缺陷责任期满
D.保修期满
78.确定建设工程施工进度控制目标的依据之一是( )。
A.施工总进度计划
B.单位工程施工进度计划
C.类似工程项目计划进度
D.工程难易程度和工程条件的落实情况
79.编制施工总进度计划时,组织全工地性流水作业应以( )的单位工程为主导。
A.工程量大、工期短
B.工程量大、工期长
C.工程量小、工期短
D.工程量小、工程长
80.项目监理机构对施工进度计划审查的内容是( )。
A.施工总工期目标是否留有余地
B.主要工程项目能否保持连续施工
C.施工资源供应计划是否满足施工进度需要
D.施工顺序是否与建设单位提供的资金、施工图纸等条件相吻合
二、多项选择题
81.工程建设的各个阶段都对工程项目质量的形成产生影响,其中施工阶段的影响包括( )。
A.确保工程实体的最终质量
B.使决策阶段确定的质量目标和水平具体化
C.形成工程实体质量的决定性环节
D.实现建设工程质量特性的保证
E.实现设计意图的重要环节
82.下列有关建设工程质量管理制度和责任体系的说法中,正确的有( )。
A.政府监督部门属于工程质量的监控主体
B.工程监理单位属于第三方服务主体,属于质量控制中的自控主体
C.勘察设计单位属于自控主体
D.施工单位对建设工程的全过程、全方位实施有效管理,属于自控主体
E.建设单位属于监控主体
83.在ISO质量管理体系的质量管理原则中,下列属于循证决策的基本内容有( )。
A.收集与目标有关的数据和信息
B.建立组织的发展前景
C.过程策划
D.了解组织的现状和发展趋势
E.权衡决策
84.质量管理体系的有效运行中,质量管理体系要素管理到位的前提和保证是管理体系的( )。
A.识别能力
B.鉴别能力
C.改进能力
D.解决能力
E.执行能力
85.在下列质量统计分析方法中,可用于过程评价或过程控制的有( )。
A.排列图
B.因果分析图
C.直方图
D.控制图
E.相关图
86.下列检测方法可用于检测结构或构件混凝土抗压强度的是( )。
A.回弹法
B.后装抜出法
C.超声回弹综合法
D.直测法
E.钻芯法
87.下列情况应由订货方进行钢材化学成分、力学性能及工艺性能的抽样检验的是( )。
A.钢材混批
B.国外进口钢材
C.对质量有疑义的钢材
D.板厚等于或大于50mm,且设计有Z向性能要求的厚板
E.设计有检验要求的钢材
88.设计单位交付工程设计文件后,按法律规定的义务就工程设计文件的内容向有关单位做出详细的说明。设计交底的主要内容一般包括( )。
A.施工图设计文件总体介绍
B.设计意图说明
C.施工质量验收时的注意事项
D.特殊工艺要求的说明
E.解答施工、监理、建设等单位提出的问题
89.平行检验是项目监理机构在施工单位自检的同时,按有关规定对同一检验项目进行的检测试验活动。下列项目监理中心试验室进行平行检验试验的有( )。
A.验证试验
B.标准试验
C.抽样试验
D.见证取样
E.专项检测
90.下列有关工程暂停令的签发,表述正确的有( )。
A.施工单位未经批准擅自施工的,总监理工程师应当及时签发工程暂停令
B.施工单位未按审查通过的工程设计文件施工的,总监理工程师应当及时签发工程暂停令
C.施工单位违反工程建设强制性标准的,总监理工程师应当及时签发工程暂停令
D.建设单位要求暂停施工的,总监理工程师应签发工程暂停令
E.施工单位拒绝项目监理机构管理的,总监理工程师应签发工程暂停令
91.单位或子单位工程划分,施工前可由( )商议确定,并据此收集整理施工技术资料和进行验收。
A.建设单位
B.设计单位
C.监理单位
D.施工单位
E.勘察单位
92.室外工程可根据( )划分为子单位工程、分部工程和分项工程。
A.施工特点
B.施工工序
C.专业类别
D.专业性质
E.工程规模
93.根据《建设工程质量管理条例》,下列属于建设工程竣工验收应该具备条件的有( )。
A.有施工单位签署的工程保修书
B.完成建设工程设计和合同约定的各项内容
C.有工程使用的全部建筑材料、建筑构配件和设备的进厂试验报告
D.有完整的技术档案和施工管理资料
E.有勘察、设计、施工、工程监理等单位共同签署的质量合格文件
94.在工程施工质量验收活动中,验收建筑工程地基与基础分部工程质量时,应由( )参加。
A.施工单位项目负责人
B.设计单位项目负责人
C.总监理工程师
D.勘察单位项目负责人
E.建设单位项目负责人
95.下列关于质量事故等级的表述中,正确的有( )。
A.某事故造成了150人重伤,属于重大事故
B.某事故造成了45人重伤,属于较大事故
C.某事故造成了5人重伤,属于一般事故
D.某事故造成了20人死亡,属于较大事故
E.某事故造成了5人死亡,属于较大事故
96.下列关于设备采购的质量控制,说法正确的有( )。
A.成套设备及生产线设备采购,宜采用招标采购的方式
B.总包单位采购,采购方案由监理工程师编写报建设单位批准
C.市场采购设备,主要用于大型非标准设备的采购
D.建设单位采购,监理工程师要协助编制设备采购方案
E.向厂家订购设备,质量控制工作的首要环节是选择一个合格的供货厂商
97.按照费用构成要素划分,属于材料费的有( )。
A.材料原价
B.检验试验费
C.运输损耗费
D.保管费
E.运杂费
98.按造价形成划分的建筑安装工程费,其他项目费包括( )。
A.暂列金额
B.工程设备暂估价
C.计日工
D.材料暂估价
E.总承包服务费
99.下列项目中,适合以PFI典型模式实施的有( )。
A.向公共部门出售服务的项目
B.私营企业与公共部门合资经营的项目
C.在经济上自立的项目
D.由政府部门掌握项目经营权的项目
E.由私营企业承担全部经营风险的项目
100.在价值工程的功能评价活动过程中,计算出某评价对象的价值系数V>1,则有可能表明( )。
A.实际成本偏低
B.有不必要的功能
C.实际成本偏高
D.功能可能不足
E.功能与成本的分配比较理想
101.下列属于施工图预算审查方法中属于重点审查法的优点的是( )。
A.突出重点
B.简单易懂
C.便于掌握
D.审查时间短、效果好
E.便于发现问题
102.估算工程量单价合同适用于( )的工程。
A.工期长
B.实施过程中发生不可预见因素较多
C.技术复杂
D.施工图详实
E.技术经济指标不明确
103.关于固定总价合同的下列说法中,正确的有( )。
A.通常适用于工程规模较大,技术复杂的大中型建筑安装工程
B.采用这种合同,承包方承担了通货膨胀风险
C.通常适用于工期在一年以上的建筑安装工程
D.通常适用于工期较短的建筑安装工程
E.采用这种合同,承包商只承担实物工程量、工期等因素的风险
104.工程计量时,发包人应予以计量的工程量有( )。
A.有缺陷工程的工程量
B.工程量清单中的工程量
C.承包人超出设计图纸和设计文件要求所增加的工程量
D.工程变更导致增加的工程量
E.承包人原因导致返工的工程量
105.根据《计价规范》规定,因不可抗力导致的以下损失,应由发包人承担的有( )。
A.运至施工场地用于施工的材料和待安装的设备的损害
B.承包方人员伤亡
C.承包方的施工机械设备损坏及停工损失
D.工程所需清理、修复费用
E.不可抗力解除后,不能按期竣工,发包人要求赶工的费用
106.投资偏差的原因有多方面,下列属于业主原因的有( )。
A.材料代用
B.组织不落实
C.协调不佳
D.赶进度
E.增加内容
107.下列费用中,承包人可索赔施工机具使用费的有( )。
A.由于完成额外工作增加的机械、仪器仪表使用费
B.由于施工机械故障导致的机械停工费
C.由于项目监理机构原因导致的机械窝工费
D.由于发包人要求承包人提前竣工,使工效降低增加的施工机械使用费
E.施工机具保养费用
108.修正的总费用法是对总费用法的改进,其修正内容包括( )。
A.与该项工作无关的费用不列入总费用中
B.只计算额外直接费
C.只计算额外间接费
D.重新核算投标报价费用
E.只计算受影响时段内受影响工作的损失
109.下列属于确定型网络计划的有( )。
A.计划评审技术
B.双代号网络计划
C.搭接网络计划
D.决策关键线路法
E.有时限的网络计划
110.为了实施进度控制,监理工程师必须根据建设工程的具体情况,认真制定进度控制措施,以确保建设工程进度控制目标的实现。进度控制的措施应包括( )。
A.管理措施
B.组织措施
C.技术措施
D.经济措施
E.合同措施
111.根据工程项目的施工特点、工艺流程及平面或空间布置等要求,可采用不同的施工组织方式,其中依次施工方式的特点包括( )。
A.没有充分利用工作面,工期长
B.如果按专业成立工作队,则各专业工作队不能连续作业
C.施工现场的组织管理比较复杂
D.单位时间内投入的劳动力、施工机具等资源较为均衡
E.有利于施工段的划分
112.某双代号网络图如下图所示,绘图错误有( )。
A.多个起点节点
B.存在循环回路
C.节点编号有误
D.多个终点节点
E.工作箭头逆向
113.某工程单代号网络计划如下图所示,节点中下方数字为该工作的持续时间,其中的关键工作有( )。
A.工作A
B.工作B
C.工作C
D.工作D
E.工作E
114.工程网络计划的资源优化是指通过改变( ),使资源按照时间的分布符合优化目标。
A.工作的持续时间
B.工作的开始时间
C.工作之间的逻辑关系
D.工作的完成时间
E.工作的资源强度
115.某工程项目的S形曲线如下图所示,其中实线为计划S形曲线,点划线为实际S形曲线。图中a、b、c三点所提供的信息有( )。
A.a点表明进度超前
B.a点表明进度拖后
C.b点表明实际进度与计划进度一致
D.b点表明进度拖后
E.c点表明进度超前
116.当某项工作实际进度拖延的时间超过其总时差而需要调整进度计划时,应考虑该工作的( )。
A.资源需求量
B.后续工作的限制条件
C.自由时差的大小
D.紧后工作的数量
E.总工期的限制条件
117.对建设工程进度计划执行情况进行跟踪检查发现问题后,进度调整系统过程中应开展的工作有( )。
A.分析产生进度偏差的原因
B.采取措施调整进度计划
C.实际进度数据的整理、统计和分析
D.分析进度偏差对后续工作及总工期的影响
E.进行实际进度与计划进度的比较
118.监理工程师定期组织现场协调会议,要解决处理的问题有( )。
A.工作面交接和阶段成品保护责任问题
B.场地与公用设施利用中的矛盾问题
C.各承包单位之间的进度协调问题
D.某一方面断水、断电、断路、开挖要求对其他方面影响的协调问题以及资源保障、外协调配合问题
E.改善工作条件
119.监理工程师根据承包单位和业主双方关于工程开工的准备情况,选择合适的时机发布工程开工令,并参加由业主主持召开第一次工地会议,会议内容包括( )。
A.审核施工单位的施工组织设计
B.按合同规定为监理工程师提供各种条件
C.业主应按照合同规定,做好征地拆迁工作,及时提供施工用地
D.工程师审阅图纸并作出相应决策
E.业主应当完成法律及财务方面手续
120.压缩关键工作的持续时间,来确保进度控制目标的实现,具体措施包括( )。
A.组织措施
B.技术措施
C.经济措施
D.其他配套措施
E.组织搭接作业的措施
答案部分
------------------------------------------------------------------------------------------------------------------------------------------
一、单项选择题
1.【答案】B
【解析】本题考查的是建设工程质量特性。耐久性,即寿命,是指工程在规定的条件下,满足规定功能要求使用的年限,也就是工程竣工后的合理使用寿命期。参见教材P1。
2.【答案】A
【解析】本题考查的是工程质量控制的原则。以合同为依据,坚持质量标准的原则,是指质量标准是评价产品质量的尺度,工程质量是否符合合同规定的质量标准要求,应通过质量检查并与质量标准对照。参见教材P5。
3.【答案】D
【解析】本题考查的是工程质量管理主要制度。选项A,检测机构检测的是结构安全的项目,装修的项目不需要检测。选项B,国务院建设主管部门负责制定检测机构的资质标准。选项C,省级、直辖市负责审批资质,市县级负责实施监督管理。参见教材P9。
4.【答案】A
【解析】本题考查的是建设单位的质量责任和义务。建设单位的质量和义务中:收到建设工程竣工报告后,应当组织设计、施工、工程监理等有关单位进行竣工验收。参见教材P11~P12。
5.【答案】C
【解析】本题考查的是ISO质量管理体系的内涵和构成。而ISO9004则为组织如何达到基本要求及进一步保持和提高竞争力,取得持续成功,提供了许多可资借鉴的方法和途径。参见教材P18。
6.【答案】D
【解析】本题考查的是质量管理体系的实施。体管理过程为:①确保产品符合规定要求需实施的测量和监视活动以及对所需装置进行识别,建立必要的控制过程;②在监理规划中应明确配备的测量和监视装置并及时配备提供;③建立测量和监视装置台账,编制周期检定(校准)计划并予以实施;④现场审核测量和监视装置的标识、贮存情况应符合要求;⑤对测量和监视装置偏离校准状态时,对先前测量结果的有效性评定与复评,依据复评结果采取相应的纠正措施。参见教材P35。
7.【答案】C
【解析】本题考查的是质量管理体系的实施。在进行内部审核时应注意:①在试运行阶段,审核体系的符合性和适用性;在正式运行阶段,重点则在符合性;②在试运行中要对所有要素审核一遍。参见教材P38。
8.【答案】D
【解析】本题考查的是工程质量统计及抽样检验的基本原理和方法。多阶段抽样是将各种单阶段抽样方法结合使用,通过多次随机抽样来实现的抽样方法。适用于总体很大时,很难一次抽样完成预定目标的情况。参见教材P62。
9.【答案】A
【解析】本题考查的是工程质量统计分析方法。折齿型是由于分组组数不当或者组距确定不当出现的直方图。选项B是上下限太严造成的;选项C是由于是原材料发生变化,或者临时他人顶班作业造成的;选项D是数据收集不正常,去掉数据造成的。参见教材P73。
10.【答案】B
【解析】本题考查的是工程质量统计分析方法。图(b)质量分布范围完全超出了质量标准上、下界限,散差太大,产生许多废品,说明过程能力不足,应提高过程能力。参见教材P75。
11.【答案】A
【解析】本题考查的是控制图法。利用控制图区分质量波动原因,判明生产过程是否处于稳定状态的方法称为控制图法。参见教材P74。
12.【答案】C
【解析】本题考查的是施工质量控制的依据。如果拟采用的新工艺、新技术、新材料,不符合现行强制性标准规定的,应当由拟采用单位提请建设单位组织专题技术论证,报批准标准的建设行政主管部门或者国务院有关主管部门审定。参见教材P104。
13.【答案】D
【解析】本题考查的是施工质量控制的依据。有关材料或半成品等的取样、试验等方面的技术标准或规程,例如:木材的物理力学试验方法,钢材的机械及工艺试验取样法,水泥安定性检验方法等。参见教材P104。
14.【答案】C
【解析】本题考查的是施工组织设计审查。项目监理机构宜将审查施工单位施工组织设计的情况,特别是要求发回修改的情况及时向建设单位通报,应将已审定的施工组织设计及时报送建设单位。参见教材P110。
15.【答案】D
【解析】本题考查的是现场施工准备的质量控制。质量合格的材料、构配件进场后,到其使用或安装时通常要经过一定的时间间隔。在此时间里,专业监理工程师应对施工单位在材料、半成品、构配件的存放、保管及使用期限实行监控。参见教材P117。
16.【答案】B
【解析】本题考查的是见证取样与平行检验。项目监理中心试验室进行平行检验试验的有:(1)验证试验:材料或商品构件运入现场后,按规定的批量和频率进行抽样试验。(2)标准试验:开工前规定或合理时间内,施工单位先完成标准试验,监理中心试验室平行进行复核(对比),以肯定、否定或调整施工单位标准试验的参数或指标。(3)抽样试验:在施工单位全频率抽样试验基础上,监理中心试验室按规定的频率独立进行抽样试验,鉴定施工单位的抽样试验结果是否真实可靠。参见教材P125。
17.【答案】A
【解析】本题考查的是监理通知单、工程暂停令、复工令的签发。项目监理机构发现下列情形之一时,总监理工程师应及时签发工程暂停令:(1)建设单位要求暂停施工且工程需要暂停施工的;(2)施工单位未经批准擅自施工或拒绝项目监理机构管理的;(3)施工单位未按审查通过的工程设计文件施工的;(4)施工单位违反工程建设强制性标准的;(5)施工存在重大质量、安全事故隐患或发生质量、安全事故的。参见教材P141。
18.【答案】A
【解析】本题考查的质量记录资料的管理。对于建设规模较小、资料不多的监理项目,可以结合工程实际,指定一名受过资料管理业务培训,懂得资料管理的监理人员兼职完成资料管理工作。参见教材P146。
19.【答案】D
【解析】本题考查的是现场安全管理。对于按照规定需要进行第三方监测的危大工程,建设单位应当委托具有相应勘察资质的单位进行监测。参见教材P152。
20.【答案】B
【解析】本题考查的是建筑工程施工质量验收层次划分原则。多层及高层建筑的分项工程可按楼层或施工段来划分检验批;单层建筑的分项工程可按变形缝等划分检验批;地基与基础的分项工程一般划分为一个检验批,有地下层的基础工程可按不同地下层划分检验批;屋面工程的分项工程可按不同楼层屋面划分为不同的检验批;其他分部工程中的分项工程,一般按楼层划分检验批。参见教材P156。
21.【答案】A
【解析】本题考查的是建筑工程施工质量验收基本规定。施工现场质量管理检查记录表应由施工单位项目负责人签字,检查结论由总监理工程师签字。参见教材P157。
22.【答案】C
【解析】本题考查的是建筑工程施工质量验收程序和合格规定。对于计数抽样的一般项目,如有关专业验收规范无明确规定时,可采用一次抽样方案,也可由建设、设计、监理、施工等单位根据检验对象的特征协商采用二次抽样方案。参见教材P163。
23.【答案】B
【解析】本题考查的是建筑工程施工质量验收程序和合格规定。隐蔽工程是指在下道工序施工后将被覆盖或掩盖,难以进行质量检查的工程。参见教材P164。
24.【答案】B
【解析】本题考查的是建筑工程施工质量验收程序和合格规定。单位工程竣工验收报审表中的预验收意见由监理单位填写。参见教材P172。
25.【答案】A
【解析】本题考查的是工程保修的相关规定。发包人根据确认的竣工结算报告向承包人支付工程竣工结算价款,保留5%左右的质量保证(保修)金,待工程交付使用一年质保期到期后清算(合同另有约定的,从其约定),质保期内如有返修,发生费用应在质量保证(保修)金内扣除。参见教材P185。
26.【答案】C
【解析】本题考查的是工程质量缺陷的成因。施工与管理不到位:不按图施工或未经设计单位同意擅自修改设计,例如挡土墙不按图纸设滤水层、排水孔,导致压力增大,墙体破坏或倾覆属于施工管理不到位。参见教材P187。
27.【答案】C
【解析】本题考查的是工程质量缺陷的涵义。工程质量缺陷是指工程不符合国家或行业的有关技术标准、设计文件及合同中对质量的要求。参见教材P187。
28.【答案】D
【解析】本题考查的是工程质量事故处理。质量事故技术处理方案一般由施工单位提出,经原设计单位同意签认,并报建设单位批准。对于涉及结构安全和加固处理等的重大技术处理方案,一般由原设计单位提出。参见教材P193。
29.【答案】C
【解析】本题考查的是工程质量事故处理。某些隐蔽部位结构混凝土表面裂缝,经检查分析,属于表面养护不够的干缩微裂,不影响使用及外观,也可不做处理。参见教材P194。
30.【答案】D
【解析】本题考查的是工程质量事故处理。工程质量事故发生后,总监理工程师应签发《工程暂停令》,要求暂停质量事故部位和与其有关联部位的施工,要求施工单位采取必要的措施,防止事故扩大并保护好现场。同时,要求质量事故发生单位迅速按类别和等级向相应的主管部门上报。参见教材P191。
31.【答案】A
【解析】本题考查的是设备制造的质量控制内容。总监理工程师应当组织专业监理工程师参加设备的调整试车和整机性能检测。参见教材P202。
32.【答案】C
【解析】本题考查的是市场采购设备质量控制。监理人员通过建设单位向设计单位提出意见和建议。参见教材P197。
33.【答案】A
【解析】本题考查的是投资控制的重点。在初步设计阶段,影响项目投资的可能性为75%~95%;在技术设计阶段,影响项目投资的可能性为35%~75%,在施工图设计阶段,影响项目投资的可能性则为5%~35%。很显然,项目投资控制的重点在于施工以前的投资决策和设计阶段,而在项目做出投资决策后,控制项目投资的关键就在于设计。参见教材P4。
34.【答案】B
【解析】本题考查的是建设工程项目投资的概念。生产性建设工程项目总投资包括建设投资、建设期利息和流动资金三部分;非生产性建设工程项目总投资包括建设投资和建设期利息两部分。参见教材P1。
35.【答案】B
【解析】本题考查的是我国项目监理机构在建设工程投资控制中的主要工作。在《监理规范》中,我国项目监理机构主要立足施工阶段(三控三管一协调),并向其他阶段延伸。其中,工程监理单位在施工阶段,投资控制的主要工作包括:进行工程计量和付款签证;对完成工程量进行偏差分析;审核竣工结算款;处理施工单位提出的工程变更费用;处理费用索赔。参见教材P8。
36.【答案】C
【解析】本题考查的是按费用构成要素划分的建筑安装工程费用项目组成。检验试验费是指对建筑以及材料、构件和建筑安装物进行一般鉴定、检查所发生费用,包括自设实验室进行试验所耗用的材料等费用,属于企业管理费。参见教材P15。
37.【答案】B
【解析】本题考查的是工程建设其他费用。与未来企业生产经营活动有关的其他费用包括:联合试运转费、生产准备费、办公和生活家具购置费。生产职工培训费属于与未来企业生产经营有关的其他费用里的生产准备费。参见教材P34。
38.【答案】B
【解析】本题考查的是建筑安装工程计价程序。该工程的措施项目费=400×5%=20(万元);规费=100(定额人工费)×8%=8(万元);税金=(分部分项工程费+措施项目费+其他项目费+规费)×9%=(400+20+15+8)×9%=39.87(万元)。于是,该工程的投标报价=400+20+15+8+39.87=482.87(万元)。分部分项工程费(综合单价)中的利润计算,应该以“人工费+材料费+机械费+企业管理费”作为基数。参见教材P24。
39.【答案】A
【解析】本题考查的是设备购置费的组成与计算。选项B错误,目的地交货价对卖方来说承担的风险较大;选项C错误,装运港船上交货价是由买方承担海运风险;选项D错误,采用装运港船上交货价时,由买方负担货物装船后的一切风险。参见教材P28。
40.【答案】D
【解析】本题考查的是我国现行建设工程投资构成。建设工程总投资包括固定资产投资和流动资产投资。选项ABC属于固定资产投资。参见教材P11。
41.【答案】D
【解析】本题考查的是建筑安装工程费用计算方法。采用简易计税方法,增值税=税前造价×3%=2000×3%=60(万元)。参见教材P22。
42.【答案】A
【解析】本题考查的是项目资金筹措的渠道与方式。规模适宜原则:筹集资金的目的在于确保项目所必需的资金,筹资的数量不能盲目确定,必须做到以需定筹。参见教材P40。
43.【答案】B
【解析】本题考查的是资金成本。资金成本只有一部分具有产品成本的性质,即这一部分耗费计入产品成本,而另一部分则作为利润的分配,不能列入产品成本。参见教材P47。
44.【答案】C
【解析】本题考查的是现金流量。现金流量发生的时间点不是按照财务会计上的权责发生制确定,而是按照资金收付的时间点确定的。参见教材P68。
45.【答案】A
【解析】本题考查的是资金时间价值的计算。实际利率:甲银行实际利率=(1+11%/4)4-1=11.46%;乙银行实际利率=(1+12%/2)2-1=12.36%;所以选择向甲银行贷款。参见教材P71。
46.【答案】C
【解析】本题考查的是财务分析主要指标的计算。利用内插法计算内部收益率的近似值,内部收益率=12%+150/(150+100)×(14%-12%)=13.2%。参见教材P90。
47.【答案】B
【解析】本题考查的是投资估算编制方法。拟建化肥厂的投资额为:10000×(80/50)0.8×(1+8%)5=21400(万元)。参见教材P77。
48.【答案】C
【解析】本题考查的是施工图预算的编制内容。当建设项目只有一个单项工程时,应采用二级预算编制形式,二级预算编制形式由建设项目总预算和单位工程预算组成。参见教材P119。
49.【答案】B
【解析】本题考查的是价值工程方法。价值工程的一般程序分为4个阶段、13个步骤。其中分析阶段包括:搜集整理资料、功能定义、功能整理、功能评价。参见教材P101。
50.【答案】A
【解析】本题考查的是工程量清单计价。根据《计价规范》以及表4-4(综合单价分析表),分部分项工程清单应采用综合单价计价。其中,综合单价是指完成一个规定清单项目所需的人工费、材料和工程设备费、施工机具使用费和企业管理费、利润以及一定范围内的风险费用。因此,选项A最为符合题意。参见教材P137。
51.【答案】C
【解析】本题考查的是投标报价审核方法。措施项目费中的安全文明施工费应按照国家或省级、行业建设主管部门的规定计算,不作为竞争性费用。参见教材P142。
52.【答案】C
【解析】本题考查的是招标控制价及确定方法。当招标人要求总包人对其发包的专业工程既进行总承包管理和协调,又要求提供相应配合服务时,总承包服务费根据招标文件列出的配合服务内容,按发包的专业工程估算造价的3%~5%计算。参见教材P140。
53.【答案】D
【解析】本题考查的是索赔的主要类型。在FIDIC施工合同下,发包人未能提供现场,则承包商有权索赔工期、费用和利润。参见教材P183。
54.【答案】B
【解析】本题考查的是资金使用计划的编制。投资目标的分解可以分为按投资构成、按子项目、按时间分解三种类型。参见教材P157。
55.【答案】A
【解析】本题考查的是现场签证。招标工程量清单中已有,但施工中发现与其不符,承包人及时向发包人提出签证确认。选项B,适用于施工合同范围以外零星工程的确认;选项C,完成其他非承包人责任引起的事件,应按合同中的约定计算;选项D,合同工程发生现场签证事项,未经发包人签证确认,承包人便擅自施工的,除非征得发包人书面同意,否则发生的费用由承包人承担。参见教材P190。
56.【答案】D
【解析】本题考查的是暂估价。暂估材料或工程设备的单价确定后,如果合同履行过程中价格发生变化,在综合单价中只应取代原暂估单价,不应再在综合单价中涉及企业管理费或利润等其他费的变动。参见教材P171。
57.【答案】A
【解析】本题考查的是建设单位的计划系统。投资计划年度分配表是根据工程项目总进度计划安排各个年度的投资,以便预测各个年度的投资规模,为筹集建设资金或与银行签订借款合同及制定分年用款计划提供依据。参见教材P7。
58.【答案】D
【解析】本题考查的是建设工程进度计划的编制程序。选项D属于计划准备阶段的工作。参见教材P16。
59.【答案】A
【解析】本题考查的是建设项目总进度目标的论证。建设项目总进度目标的控制是业主方项目管理的任务。参见教材P4。
60.【答案】B
【解析】本题考查的是成倍节拍流水施工。第一个施工过程的专业工作队数目=3(个),第二个施工过程的专业工作队数目=2(个),第三个施工过程的专业工作队数目=4(个),则参与该工程流水施工的专业工作队总数=3+2+4=9(个),则流水施工工期为=(4+9-1)×2=24(天)。参见教材P29。
61.【答案】A
【解析】本题考查的是流水施工方式。垂直图的横坐标表示流水施工的持续时间;纵坐标表示流水施工所处的空间位置,即施工段的编号。n条斜向线段表示n个施工过程或专业工作队的施工进度。垂直图编制实际工程进度计划不如横道图方便。参见教材P22。
62.【答案】D
【解析】本题考查的是流水步距的确定。用错位相减取大差法计算,
3,7,11,17
-)4,7,11,18
3,3,4,6,-18
在差数列中取最大值6,则流水步距为6天。参见教材P31。
63.【答案】A
【解析】本题考查的是流水施工参数。工艺参数主要是用以表达流水施工在施工工艺方面进展状态的参数,包括施工过程和流水强度。参见教材P23。
64.【答案】D
【解析】本题考查的是按工作计算法。工作B的最早完成时间=max{6,8}+5=13(天)。参见教材P47。
65.【答案】D
【解析】本题考查的是单代号搭接网络计划。搭接网络计划时间参数的计算顺序:(1)最早开始时间、最早完成时间;(2)时间间隔;(3)总时差、自由时差;(4)最迟开始时间、最迟完成时间。参见教材P79~81。
66.【答案】C
【解析】本题考查的是时标网络计划中时间参数的判定。如果按原计划实行,施工机械闲置时间总共为4周。通过时间参数的计算,工作C的总时差为1周、自由时差为0周,工作E的总时差为2周,工作H的总时差为0周、自由时差为0周。三项工作共用一台机械且必须顺序施工,关键线路为A→D→H,对于工作H不可以提前开始也不可以推迟开始。对于工作C只可以晚开始1周,也就是在第2周开始工作,才不会影响其后工作G、J的完成。这样施工机械在现场最小闲置时间为4-1=3周。参见教材P63。
67.【答案】A
【解析】本题考查的是网络图的组成。双代号网络图(箭线式网络图)以箭线及其两端节点的编号表示工作;同时,节点表示工作的开始或结束以及工作之间的连接状态。参见教材P35。
68.【答案】C
【解析】本题考查的是标号法。根据标号法,关键线路有:①→②→⑤→⑨→⑩,①→④→⑥→⑦→⑨→⑩,①→②→⑤→⑥→⑦→⑨→⑩,计算工期为19天。参见教材P54。
69.【答案】D
【解析】本题考查的是工期优化。工程网络计划的工期优化通过压缩关键工作的持续时间来达到优化目标。参见教材P66。
70.【答案】D
【解析】本题考查的是双代号网络计划时间参数的计算。当某工程网络计划的计算工期等于计划工期时,总时差为0(最早完成时间等于最迟完成时间)一定是关键工作。参见教材P50。
71.【答案】C
【解析】本题考查的是先行工作和后续工作。在工程网络计划实施过程中,如果发现某项工作进度出现拖延,则受影响的工作必然是该工作的后续工作。参见教材P37。
72.【答案】A
【解析】本题考查的是横道图比较法。选项B,在第三天内,计划完成任务量15%,实际完成任务量10%,因此实际完成的任务量与计划完成的任务量不相等;选项C,本工作按计划完成;选项D,到第6天结束,本工作拖欠5%的任务量。参见教材P94。
73.【答案】A
【解析】本题考查的是香蕉曲线比较法。在工程项目的实施过程中,根据每次检查收集到的实际完成任务量,绘制出实际进度S曲线,便可以与计划进度进行比较。工程项目实施进度的理想状态是任一时刻工程实际进展点应落在香蕉曲线图的范围之内。参见教材P98。
74.【答案】B
【解析】本题考查的是进度监测的系统过程。跟踪检查的主要工作是定期收集反映工程实际进度的有关数据,收集的数据应当全面、真实、可靠,不完整或不正确的进度数据将导致判断不准确或决策失误。参见教材P90。
75.【答案】D
【解析】本题考查的是监理单位的进度监控。对于设计进度的监控应实施动态控制。在设计工作开始之前,首先应由监理工程师审查设计单位所编制的进度计划的合理性和可行性。参见教材P114。
76.【答案】A
【解析】本题考查的是影响设计进度的因素。影响设计进度的因素主要有:(1)建设意图及要求改变的影响;(2)设计审查时间的影响;(3)设计各专业之间协调配合的影响;(4)工程变更的影响;(5)材料代用、设备选用失误的影响。参见教材P113。
77.【答案】D
【解析】本题考查的是建设工程施工进度控制工作流程。建设工程施工进度控制工作从审核承包单位提交的施工进度计划开始,直至建设工程保修期满为止。参见教材P120。
78.【答案】D
【解析】本题考查的是施工进度控制目标的确定。确定施工进度控制目标的主要依据有:建设工程总进度目标对施工工期的要求;工期定额、类似工程项目的实际进度;工程难易程度和工程条件的落实情况等。参见教材P118。
79.【答案】B
【解析】本题考查的是施工总进度计划的编制。施工总进度计划应安排全工地性的流水作业。全工地性的流水作业安排应以工程量大、工期长的单位工程为主导,组织若干条流水线,并以此带动其他工程。参见教材P125。
80.【答案】C
【解析】本题考查的是项目监理机构对施工进度计划的审查。施工进度计划审查应包括下列基本内容:(1)施工进度计划应符合施工合同中工期的约定;(2)施工进度计划中主要工程项目无遗漏,应满足分批投入试运、分批动用的需要,阶段性施工进度计划应满足总进度控制目标的要求;(3)施工顺序的安排应符合施工工艺要求;(4)施工人员、工程材料、施工机械等资源供应计划应满足施工进度计划的需要;(5)施工进度计划应符合建设单位提供的资金、施工图纸、施工场地、物资等施工条件。参见教材P129。
二、多项选择题
81.【答案】CDE
【解析】本题考查的是工程建设阶段对质量形成的作用与影响。工程施工决定了设计意图能否体现,它直接关系到工程的安全可靠、使用功能的保证,以及外表观感能否体现建筑设计的艺术水平。在一定程度上,工程施工是形成实体质量的决定性环节。参见教材P3
82.【答案】ACE
【解析】本题考查的是工程质量控制主体。选项B错误,监理单位受建设单位的委托,属于监控主体。选项D错误,在建设工程管理中,建设单位自始至终是建设工程管理的主导者和责任人,其主要责任是对建设工程的全过程、全方位实施有效管理,保证建设工程总体目标的实现,并承担项目的风险以及经济、法律责任。参见教材P4。
83.【答案】ADE
【解析】本题考查的是ISO质量管理体系的质量管理原则及特征。循证决策的基本内容包括:(1)收集与目标有关的数据和信息;(2)数据和信息的准确可信,建立信息管理系统;(3)分析数据和信息,使用有效的方法,运用统计技术;(4)了解组织的现状和发展趋势;(5)权衡决策。选项B建立组织的发展前景属于领导作用的基本内容;选项C过程策划为过程方法的基本内容。参见教材P24。
84.【答案】ABD
【解析】本题考查的是质量管理体系的实施。质量管理体系要素管理到位的前提和保证是管理体系的识别能力,鉴别能力和解决能力。参见教材P36。
85.【答案】CD
【解析】本题考查的是工程质量统计分析方法。直方图可通过质量数据特征值的计算,估算施工生产过程总体的不合格品率,评价过程能力。控制图是用样本数据来分析判断生产过程是否处于稳定状态的有效工具,用途主要有两个:(1)过程分析,即分析生产过程是否稳定;(2)过程控制,即控制生产过程质量状态。参见教材70。
86.【答案】ABCE
【解析】本题考查的是实体检测。结构或构件混凝土抗压强度的检测,可采用回弹法、超声回弹综合法、钻芯法或后装抜出法等方法。参见教材P88
87.【答案】ABCE
【解析】本题考查的是基本材料性能检验。对属于下列情况之一的进场钢材,应由订货方进行钢材化学成分、力学性能及工艺性能的抽样检验,其检验结果应符合国家现行有关标准或设计文件的要求。(1)国外进口钢材;(2)钢材混批;(3)板厚等于或大于40mm,且设计有Z向性能要求的厚板;(4)建筑结构安全等级为一级,或复杂超高层、大跨度钢结构中主要受力构件所采用的钢材;(5)设计有检验要求的钢材;(6)对质量有疑义的钢材。参见教材P83
88.【答案】ABDE
【解析】本题考查的是图纸会审与设计交底。设计交底的主要内容一般包括:施工图设计文件总体介绍,设计的意图说明,特殊的工艺要求,建筑、结构、工艺、设备等各专业在施工中的难点、疑点和容易发生的问题说明,介绍同类工程经验教训,以及解答施工、监理、建设等单位提出的问题。参见教材P109。
89.【答案】ABC
【解析】本题考查的是见证取样与平行检验。项目监理中心试验室进行平行检验试验的是:(1)验证试验;(2)标准试验;(3)抽样试验。参见教材P125。
90.【答案】ABC
【解析】本题考查的是监理通知单、工程暂停令、复工令的签发。项目监理机构发现下列情形之一时,总监理工程师应及时签发工程暂停令:(1)建设单位要求暂停施工且工程需要暂停施工的;(2)施工单位未经批准擅自施工或拒绝项目监理机构管理的;(3)施工单位未按审查通过的工程设计文件施工的;(4)施工单位违反工程建设强制性标准的;(5)施工存在重大质量、安全事故隐患或发生质量、安全事故的。对于建设单位要求停工的,总监理工程师经过独立判断,认为有必要暂停施工的,可签发工程暂停令;认为没有必要暂停施工的,不应签发工程暂停令。施工单位拒绝执行项目监理机构的要求和指令时,总监理工程师应视情况签发工程暂停令。对于施工单位未经批准擅自施工或分别出现上述(3)、(4)、(5)三种情况时,总监理工程师应签发工程暂停令。总监理工程师在签发工程暂停令时,可根据停工原因的影响范围和影响程度,确定停工范围。参见教材P141。
91.【答案】ACD
【解析】本题考查的是建筑工程施工质量验收层次划分原则。单位或子单位工程划分,施工前可由建设、监理、施工单位商议确定,并据此收集整理施工技术资料和进行验收。参见教材P156。
92.【答案】CE
【解析】本题考查的是建筑工程施工质量验收层次划分原则。室外工程可根据专业类别和工程规模划分为子单位工程、分部工程和分项工程。参见教材P156。
93.【答案】ABD
【解析】本题考查的是建筑工程施工质量验收程序和合格规定。《建设工程质量管理条例》规定,建设工程竣工验收应当具备下列条件:(1)完成建设工程设计和合同约定的各项内容;(2)有完整的技术档案和施工管理资料;(3)有工程使用的主要建筑材料、建筑构配件和设备的进厂试验报告;(4)有勘察、设计、施工、工程监理等单位分别签署的质量合格文件;(5)有施工单位签署的工程保修书。参见教材P170。
94.【答案】ABCD
【解析】本题考查的是建筑工程施工质量验收程序和合格规定。分部工程应由总监理工程师组织验收,分项工程应由专业监理工程师组织验收。由于地基与基础部分分部工程情况复杂,专业性强,且关系到整个工程的安全,为保证质量,严格把关,规定勘察、设计单位项目负责人应参加验收,并要求施工单位技术、质量部门负责人也应参加验收。参见教材P166。
95.【答案】BCE
【解析】本题考查的是工程质量事故等级划分。根据工程质量事故造成的人员伤亡或者直接经济损失,工程质量事故分为4个等级:(1)特别重大事故,是指造成30人以上死亡,或者100人以上重伤,或者1亿元以上直接经济损失的事故;(2)重大事故,是指造成10人以上30人以下死亡,或者50人以上100人以下重伤,或者5000万元以上1亿元以下直接经济损失的事故;(3)较大事故,是指造成3人以上10人以下死亡,或者10人以上50人以下重伤,或者1000万元以上5000万元以下直接经济损失的事故;(4)一般事故,是指造成3人以下死亡,或者10人以下重伤,或者100万元以上1000万元以下直接经济损失的事故。选项A属于特别重大事故;选项D属于重大事故。参见教材P190。
96.【答案】ADE
【解析】本题考查的是市场采购设备的质量控制。选项B错误,总包单位或设备安装单位采购,监理工程师要对总承包单位或安装单位编制的采购方案进行审查;选项C错误,市场采购方式主要用于标准设备的采购。参见教材P197。
97.【答案】ACDE
【解析】本题考查的是按费用构成要素划分的建筑安装工程费用项目组成。材料费的组成包括材料原价、运杂费、运输损耗费、采购及保管费。选项B属于企业管理费。参见教材P14。
98.【答案】ACE
【解析】本题考查的是按造价形成划分的建筑安装工程费用项目组成。按造价形成划分的建筑安装工程费,其他项目费包括暂列金额、计日工、总承包服务费。参见教材P18。
99.【答案】ABC
【解析】本题考查的是项目融资的主要方式。PFI有非常广泛的适用范围,不仅包括基础设施项目,在学校、医院、监狱等公共项目上也有广泛的应用。参见教材P56。
100.【答案】ABE
【解析】本题考查的是价值工程的应用。在价值工程活动过程中,计算出V>1,出现这种情况的原因可能有三种:(1)由于现实成本偏低,不能满足评价对象实现其应具有的功能的要求,致使对象功能偏低,这种情况应列为改进对象,改善方向是增加成本;(2)对象目前具有的功能已经超过其应该具有的水平,也即存在过剩功能,这种情况也应列为改进对象,改善方向是降低功能水平;(3)对象在技术、经济等方面具有某些特征,在客观上存在着功能很重要而消耗的成本却很少的情况,这种情况一般不列为改进对象。参见教材P109。
101.【答案】AD
【解析】本题考查的是施工图预算的审查内容与审查方法。重点审查法的优点是突出重点,审查时间短、效果好。选项BCE属于筛选法的优点。参见教材P127。
102.【答案】ABCE
【解析】本题考查的是合同计价方式。估算工程量单价合同大多用于工期长、技术复杂、实施过程中可能会发生不可预见因素较多的建设工程,或发包方为了缩短项目建设周期,如在初步设计完成后就拟进行施工招标的工程,在施工图不完整或当准备招标的工程项目内容、技术经济指标一时尚不能明确和具体予以规定时,往往要采用这种合同计价方式。参见教材P148。
103.【答案】BD
【解析】本题考查的是合同计价方式。选项A,规模较大、技术复杂,不适合固定总价合同;选项C,工期在一年以上的工程,通常采用可调价合同;选项E,在固定总价合同中,承包商需要承担“量”、“价”的双重风险。参见教材P146。
104.【答案】BD
【解析】本题考查的是工程计量的依据。因承包人原因造成的超出合同工程范围施工或返工的工程量,发包人不予计量。参见教材P160。
105.【答案】ADE
【解析】本题考查的是不可抗力。因不可抗力事件导致的人员伤亡、财产损失及其费用增加,双方应按照“各自损失,各自承担”的原则进行处理。合同工程本身的损害、因工程损害导致第三方人员伤亡和财产损失以及运至施工场地用于施工的材料和待安装的设备的损害,由发包人承担。工程所需清理、修复费用,应由发包人承担。不可抗力解除后复工的,若不能按期竣工,应合理延长工期。发包人要求赶工的,赶工费用应由发包人承担。选项BC属于承包人应承担的损失,发包人不予负担。参见教材P172。
106.【答案】BCE
【解析】本题考查的是偏差原因分析。投资偏差的原因中属于业主原因的有增加内容、投资规划不当、组织不落实、建设手续不全、协调不佳、未及时提供场地。选项A、D属于施工原因。参见教材P214。
107.【答案】ACD
【解析】本题考查的是索赔费用的计算。在索赔费用的组成(计算)中,非承包人原因造成的额外或超支部分费用,可能获得补偿。其中,施工机具使用费的索赔包括:(1)由于完成额外工作增加的机械、仪器仪表使用费;(2)非承包人责任工效降低增加的机械、仪器仪表使用费;(3)由于发包人或监理工程师原因导致机械、仪器仪表停工的窝工费。参见教材P185。
108.【答案】ADE
【解析】本题考查的是索赔费用的计算。修正的总费用法是对总费用法的改进,在总费用计算基础上,去掉一些不合理的因素。修正的内容包括:(1)将计算索赔款的时段局限于受到外界影响的时间,而不是整个施工期;(2)只计算受影响时段内的某项工作所受影响的损失,而不是计算该时段内所有施工工作所受的损失;(3)与该项工作无关的费用不列入总费用中;(4)对投标报价费用重新进行核算:按受影响时段内该项工作的实际单价进行核算,乘以实际完成的该项工作的工程量,得出调整后的报价费用。参见教材P186。
109.【答案】BCE
【解析】本题考查的是建设工程进度计划的表示方法。如果网络计划中各项工作及其持续时间和各工作之间的相互关系都是确定的,就是确定型网络计划,否则属于非确定型网络计划。如计划评审技术、图示评审技术、风险评审技术、决策关键线路法等均属于非确定型网络计划。参见教材P14。
110.【答案】BCDE
【解析】本题考查的是进度控制的措施和主要任务。为了实施进度控制,监理工程师必须根据建设工程的具体情况,认真制定进度控制措施,以确保建设工程进度控制目标的实现。进度控制的措施应包括组织措施、技术措施、经济措施及合同措施。参见教材P2。
111.【答案】AB
【解析】本题考查的是流水施工方式。选项C错误,依次施工的施工现场的组织、管理比较简单;选项D错误,依次施工时有时间间歇,劳动力及施工机具等资源无法均衡使用;选项E错误,施工段是流水施工的空间参数,与依次施工无关。参见教材P21~22。
112.【答案】BCDE
【解析】本题考查的是双代号网络图的绘制。存在循环回路②→④→⑤;节点编号有误③、⑤;多个终点节点⑦、⑧;工作箭头逆向②→⑤。参见教材P37。
113.【答案】AC
【解析】本题考查的是单代号网络计划时间参数的计算。单代号网络计划可以利用相邻两项工作之间的时间间隔来判定关键线路。即从网络计划的终点节点开始,逆着箭线方向依次找出相邻两项工作之间的时间间隔为零的线路就是关键线路。关键线路为A→C→G→I→K和A→C→H→K。参见教材P59。
114.【答案】BD
【解析】本题考查的是资源优化。资源优化的目的是通过改变工作的开始时间和完成时间,使资源按照时间的分布符合优化目标。参见教材P75。
115.【答案】AC
【解析】本题考查的是S曲线比较法。实际进度点落在计划S曲线左边的表示进度超前,落在计划S曲线右边的表示进度拖后。参见教材P97。
116.【答案】BE
【解析】本题考查的是进度计划的调整方法。当某项工作实际进度拖延的时间超过其总时差而需要对进度计划进行调整时,除需考虑总工期的限制条件外,还应考虑网络计划中后续工作的限制条件,特别是对总进度计划的控制更应注意这一点。参见教材P108。
117.【答案】ABD
【解析】本题考查的是进度调整的系统过程。进度调整的系统过程是:(1)分析进度偏差产生的原因;(2)分析进度偏差对后续工作和总工期的影响;(3)确定后续工作和总工期的限制条件;(4)采取措施调整进度计划;(5)实施调整后的进度计划。参见教材P91。
118.【答案】ABCD
【解析】本题考查的是建设工程施工进度控制工作内容。监理工程师应每月、每周定期组织召开不同层级的现场协调会,以解决工程施工过程中相互协调配合问题。通常包括:各承包单位之间的进度协调问题;工作面交接和阶段成品保护责任问题;场地与公用设施利用中的矛盾问题;某一方面断水、断电、断路、开挖要求对其他方面影响的协调问题以及资源保障、外协条件配合问题等。参见教材P122。
119.【答案】BCE
【解析】本题考查的是建设工程施工进度控制工作内容。监理工程师根据承包单位和业主双方关于工程开工的准备情况,选择合适的时机发布工程开工令。为了检查双方的准备情况,监理工程师应参加由业主主持召开的第一次工地会议。业主应按照合同规定,做好征地拆迁工作,及时提供施工用地。同时,还应当完成法律及财务方面的手续,以便能及时向承包单位支付工程预付款。承包单位应当将开工所需要的人力、材料及设备准备好,同时还要按合同规定为监理工程师提供各种条件。参见教材P121。
120.【答案】ABCD
【解析】本题考查的是施工进度计划的调整。压缩关键工作的持续时间的具体措施:组织措施、技术措施、经济措施、其他配套措施。参见教材P132。
- · 2026年监理工程师《目标控制(土建)》学习计划时间表
- · 2026年监理工程师《案例分析(土建)》学习计划时间表
- · 【考点回顾】2025年监理工程师考试《土建控制》科目考点回顾
- · 【考点回顾】2025年监理工程师考试《案例分析(土建)》科目考点回顾
- · 知识点基本覆盖到了,比合同管理要轻松些,今年的概论你觉得难度如何呢?
- · 2025年监理工程师考试《土建控制》试题及答案
- · 考前模拟卷的含金量越来越高!基本上85%都是yuan题!正保教资能力赞!
- · 考友聚有料|2025年监理工程师考场百态&考试难度解析
- · 李娜老师太牛了,ya到了好多!已经预估上an了?
- · 不会是放水了吧!网络计划也挺简单?题库和直播课讲到了不少!

















![[em2_01]](https://live.cdeledu.com/web/images/emoji/01.png)
![[em2_02]](https://live.cdeledu.com/web/images/emoji/02.png)
![[em2_03]](https://live.cdeledu.com/web/images/emoji/03.png)
![[em2_04]](https://live.cdeledu.com/web/images/emoji/04.png)
![[em2_05]](https://live.cdeledu.com/web/images/emoji/05.png)
![[em2_06]](https://live.cdeledu.com/web/images/emoji/06.png)
![[em2_07]](https://live.cdeledu.com/web/images/emoji/07.png)
![[em2_08]](https://live.cdeledu.com/web/images/emoji/08.png)
![[em2_09]](https://live.cdeledu.com/web/images/emoji/09.png)
![[em2_10]](https://live.cdeledu.com/web/images/emoji/10.png)
![[em2_11]](https://live.cdeledu.com/web/images/emoji/11.png)
![[em2_12]](https://live.cdeledu.com/web/images/emoji/12.png)
![[em2_13]](https://live.cdeledu.com/web/images/emoji/13.png)
![[em2_14]](https://live.cdeledu.com/web/images/emoji/14.png)
![[em2_15]](https://live.cdeledu.com/web/images/emoji/15.png)
![[em2_16]](https://live.cdeledu.com/web/images/emoji/16.png)
![[em2_17]](https://live.cdeledu.com/web/images/emoji/17.png)
![[em2_18]](https://live.cdeledu.com/web/images/emoji/18.png)
![[em2_19]](https://live.cdeledu.com/web/images/emoji/19.png)
![[em2_20]](https://live.cdeledu.com/web/images/emoji/20.png)






扫一扫立即下载
扫码添加老师