2019年《建设工程目标控制(土建)》试题
一、单项选择题
1.某新建学校项目由教学楼、行政楼等构成,按建设工程项目的划分层次,行政楼属于( )。
A.专业工程
B.单项工程
C.单位工程
D.分项工程
2.下列费用中,属于建筑安装工程规费的是( )。
A.教育费附加
B.地方教育附加
C.职工教育经费
D.住房公积金
3.按照有关标准规定,对建筑以及材料、构件和建筑安装物进行一般鉴定、检验所发生的费用在( )中列支。
A.建筑安装工程材料费
B.建筑安装工程企业管理费
C.建筑安装工程规费
D.工程建设其他费用
4.某招标工程,分部分项工程费为41000万元(其中定额人工费占15%),措施项目费以分部分项工程费的2.5%计算,暂列金额800万元,规费以定额人工费为基础计算,规费费率为8%,税率为9%。则该工程的招标控制价为( )万元。
A.46343.530
B.47143.530
C.47215.530
D.47247.794
5.某进口设备,装运港船上交货价(FOB)为50万美元,到岸价(CIF)为51万美元,关税税率为10%,增值税税率为13%,美元的银行外汇牌价为:1美元=6.72元人民币,则该进口设备的增值税为人民币( )。
A.43.680
B.44.554
C.48.048
D.49.009
6.某新建项目,建设期2年,第1年向银行借款2000万元,第2年向银行借款3000万元,年利率为6%,则该项目估算的建设期利息为( )万元。
A.213.6
B.247.2
C.273.6
D.427.2
7.某施工机械预算价格为30万元,残值率为2%,折旧年限为10年,年平均工作225个台班,采用平均折旧法计算,则该施工机械的台班折旧费为( )元。
A.130.67
B.133.33
C.1306.67
D.1333.33
8.某银行给企业贷款100万元,年利率为4%,贷款年限3年,到期后企业一次性还本付息,利息按复利每半年计息一次,到期后企业应支付给银行的利息为( )万元。
A.12.000
B.12.616
C.24.000
D.24.973
9.下列方案经济评价指标中,属于偿债能力评价指标的是( )。
A.净年值
B.利息备付率
C.内部收益率
D.总投资收益率
10.某建设项目,静态投资3460万元,建设期贷款利息60万元,涨价预备费80万元,流动资金800万元。则该项目的建设投资为( )万元。
A.3520
B.3540
C.3600
D.4400
11.关于净现值指标的说法,正确的是( )。
A.该指标能够直观地反映项目在运营期内各年的经营成果
B.该指标可直接用于不同寿命期互斥方案的比选
C.该指标小于零时,项目在经济上可行
D.该指标大于等于零时,项目在经济上可行
12.某项目应用价值工程原理进行方案择优,各方案的功能系数和单方造价见下表,则最优方案为( )。
A.甲方案
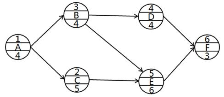
B.乙方案
C.丙方案
D.丁方案
13.能较快发现问题,审查速度快,但问题出现的原因还需继续审查的施工图预算审查方法是( )。
A.对比审查法
B.逐项审查法
C.标准预算审查法
D.“筛选”审查法
14.关于工程量清单的说法,正确的是( )。
A.招标文件中工程量清单的准确性和完整性由工程量清单编制单位负责
B.招标文件中分项工程项目清单的项目名称一般以工程实体名称命名
C.招标文件中分部分项工程量清单的项目编码前10位按现行计量规范的规定设置
D.投标人不得对招标文件中的措施项目清单进行调整
15.下列招标文件所列的工程量清单中,不可调整的闭口清单是( )。
A.分部分项工程量清单
B.能计量的措施项目清单
C.不能计量的措施项目清单
D.其他项目清单
16.某工程施工过程中发生了一项未在合同中约定的零星工作,增加费用2万元,此费用应列入工程的( )中。
A.暂列金额
B.暂估价
C.计日工
D.总承包服务费
17.某工程的工作内容和技术经济指标非常明确,工期10个月,预计施工期间通货膨胀率低,则该工程较适合采用的合同计价方式是( )。
A.固定总价合同
B.可调总价合同
C.固定单价合同
D.可调单价合同
18.采用成本加奖罚合同,当实际成本大于预期成本时,承包人可以得到( )。
A.工程成本、酬金和预先约定的奖金
B.工程成本和预先约定的奖金,不能得到酬金
C.工程成本,但不能得到酬金和预先约定的奖金
D.工程成本和酬金,但也可能会处予一笔罚金
19.根据《建设工程施工合同(示范文本)》,监理人应在收到承包人提交的工程量报告后( )天内完成对承包人提交的工程量报表的审核并报送发包人。
A.7
B.14
C.21
D.28
20.根据《建设工程工程量清单计价规范》,当承包人投标报价中材料单价低于基准单价时,施工期间材料单价跌幅以( )为基础,超过合同约定的风险幅度值时,其超过部分按实调整。
A.基准单价
B.投标报价
C.定额单价
D.投标控制价
21.某工程在施工过程中,因不可抗力造成如下损失:(1)在建工程损失10万元;(2)承包人受伤人员医药费和补偿金2万元;(3)施工机具损坏损失1万元;(4)工程清理和修复费用0.5万元。承包人及时向项目监理机构提出了索赔申请,共索赔13.5万元。根据《建设工程施工合同(示范文本)》,项目监理机构应批准的索赔金额为( )万元。
A.10.0
B.10.5
C.12.5
D.13.5
22.已签约合同价中的暂列金额由( )负责掌握使用。
A.承包人
B.监理人
C.贷款人
D.发包人
23.承包人在施工中遇到了一个有经验的承包人也难以预测的不利物质条件,导致承包人成本增加和工期延误,则承包人可索赔( )。
A.增加的成本、延误的工期和相应利润
B.延误的工期、不能索赔增加的成本和相应利润
C.增加的成本,不能索赔延误的工期和相应利润
D.增加的成本和延误的工期,不能索赔相应利润
24.根据《建设工程监理规范》,第一次工地会议纪要由( )负责整理。
A.建设单位
B.设计单位
C.施工项目部
D.项目监理机构
25.根据《建设工程监理规范》,下列施工控制测量成果及保护措施中,项目监理机构复核的内容不包括( )。
A.施工单位测量人员的资格证书
B.施工平面控制网的测量成果
C.测量设备的养护记录
D.控制桩的保护措施
26.在工程施工过程中,检查施工现场工程建设各方主体的质量行为,是( )的主要任务。
A.建设单位
B.监理单位
C.工程质量监督机构
D.工程质量检测机构
27.根据有关标准,对有抗震设防要求的主体结构,纵向受力钢筋的屈服强度实测值与强度标准值的比例不应大于( )。
A.1.30
B.1.35
C.1.40
D.1.45
28.ISO质量管理体系提出的“持续改进”质量管理原则,其核心内容是( )。
A.需求的变化要求组织不断改进
B.确立挑战性的改进目标
C.提高有效性和效率
D.全员参与
29.ISO质量管理体系运行中,体系要素管理到位的前提和保证是( )。
A.管理体系的适时管理
B.管理体系的行为到位
C.管理体系的适中控制
D.管理体系的识别能力
30.关于样本中位数的说法,正确的是( )。
A.样本数为偶数时,中位数是数值大小排序后居中两数的平均值
B.中位数反映了样本数据的分散状况
C.中位数反映了中间数据的分布
D.样本中位数是样本极差值的平均值
31.关于抽样检验的说法,正确的是( )。
A.计量抽样检验是对单位产品的质量采取计数抽样的方法
B.一次抽样检验涉及3个参数,二次抽样检验涉及5个参数
C.一次抽样检验和二次抽样检验均为计量抽样检验
D.一次抽样检验和二次抽样检验均涉及3个参数,即批量、样本数和合格判定数
32.在采用排列图法分析工程质量问题时,按累计频率划分进行质量影响因素分类,次要因素对应的累计频率区间为( )。
A.70%~80%
B.80%~90%
C.80%~100%
D.90%~100%
33.在工程质量统计分析时,应用控制图观察分析生产状态,应判定为工序异常的是( )。
A.连续七点链
B.排列点连续6点下降
C.排列点在连续11点中有6点连续同侧
D.排列点连续5点上升
34.下列方法中,不属于混凝土结构实体强度检测方法的是( )。
A.超声回弹综合法
B.取芯法
C.回弹仪法
D.超声波对测法
35.根据《建设工程监理规范》,项目监理机构应将已审核签认的施工组织设计报送( )。
A.工程质量监督机构
B.建设单位
C.监理单位
D.施工单位
36.关于钢绞线进场复验的说法,正确的是( )。
A.同一规格的钢绞线每批不得大于6吨
B.检验试验必须进行现场抽样
C.力学性能的抽样检验需进行反复弯曲试验
D.抽样检验时,应从每批钢绞线中任选3盘取样送检
37.在施工单位提交的下列报审表、报验表中,专业监理工程师签署意见后,总监理工程师还应签署审核意见的是( )。
A.分包单位资格报审表
B.施工控制测量成果报验表
C.分项工程质量报验表
D.工程材料、构配件、设备报审表
38.工程施工工期应自( )中载明的开工日期起计算。
A.工程开工报审表
B.施工组织设计报审表
C.施工控制测量成果报验表
D.工程开工令
39.根据《建设工程监理规范》,项目监理机构应根据工程特点和( ),确定旁站的关键部位和关键工序。
A.监理规划
B.监理细则
C.施工单位报送的施工组织设计
D.监理合同
40.根据《建设工程监理规范》,下列施工单位报审表中,需要总监理工程师签字并加盖执业印章的是( )。
A.监理通知回复单
B.施工组织设计报审表
C.分部工程报验表
D.工程复工报审表
41.在混凝土矿物掺合料中,不能改善混凝土工作性的活性粉体材料是( )。【相关知识点新教材已删除】
A.硅灰
B.矿渣粉
C.硅粉
D.粉煤灰
42.根据《建设工程监理规范》,下列工程资料中,需要建设单位签署审批意见的是( )。
A.监理规划
B.施工组织设计
C.工程暂停令
D.超过一定规模的危险性较大的分部分项工程专项施工方案
43.监理单位对制造周期长的设备制造过程,质量控制可采用的方式是( )。
A.驻厂监造
B.巡回监控
C.定点监控
D.目标监控
44.根据《建筑施工质量验收统一标准》,涉及安全、节能、环境保护等项目的专项验收要求,应由( )组织专家论证。
A.建设单位
B.监理单位
C.设计单位
D.施工单位
45.根据《建筑工程施工质量验收统一标准》,分部工程质量验收应由( )组织。
A.专业监理工程师
B.总监理工程师
C.施工单位项目负责人
D.建设单位项目负责人
46.根据《建筑工程施工质量验收统一标准》,单位工程质量竣工验收记录表中验收结论由( )填写。
A.建设单位
B.监理单位
C.施工单位
D.设计单位
47.工程施工质量验收的最小单位是( )。
A.分项工程
B.检验批
C.分部工程
D.单项工程
48.下列可能导致工程质量缺陷的因素中属于施工管理不到位的是( )。
A.超常低价中标
B.内力分析有误
C.图纸未经会审
D.盲目套用图纸
49.工程施工过程中发生质量事故造成8人死亡,50人重伤,6000万元直接经济损失,该事故等级属于( )。
A.一般事故
B.较大事故
C.重大事故
D.特别重大事故
50.工程施工过程中发生质量事故,项目监理机构应及时签发( )。
A.工作联系单
B.监理通知单
C.工程暂停令
D.监理口头指令
51.因施工原因发生工程质量事故,涉及结构安全处理的重大技术处理方案,一般由( )提出。
A.施工单位
B.项目监理机构
C.原设计单位
D.法定检测机构
52.工程勘察阶段,监理单位质量控制最重要的工作是审核与评定( )。
A.勘察方案
B.勘察合同
C.勘察任务书
D.勘察成果
53.工程设计阶段,监理单位协助建设单位组织施工图设计评审时,评审的重点是( )。
A.设计深度是否符合规定
B.施工进度能否实现
C.经济评价是否合理
D.设计标准是否符合预定要求
54.某分部工程有3个施工过程,分为4个施工段组织加快的成倍节拍流水施工,各施工过程流水节拍分别是6天、6天、9天,则该分部工程的流水施工工期是( )天。
A.24
B.30
C.36
D.54
55.在有足够工作面和资源的前提下,施工工期最短的施工组织方式是( )。
A.依次施工
B.搭接施工
C.平行施工
D.流水施工
56.双代号网络计划中虚工作的含义是指( )。
A.相邻工作间的逻辑关系,只消耗时间
B.相邻工作间的逻辑关系,只消耗资源
C.相邻工作间的逻辑关系,消耗资源和时间
D.相邻工作间的逻辑关系,不消耗资源和时间
57.根据网络计划时间参数计算得到的工期称之为( )。
A.计划工期
B.计算工期
C.要求工期
D.合理工期
58.网络计划中,工作总时差是本工作可以利用的机动时间,但其前提是( )。
A.不影响紧后工作最迟开始
B.不影响紧后工作最早开始
C.不影响紧后工作最早完成
D.不影响后续工作最早完成
59.某工程网络计划如下图所示(时间单位为天),图中工作E的最早完成时间和最迟完成时间分别是( )天。
A.8和10
B.5和7
C.7和10
D.5和8
60.某工程网络计划如下图所示(时间单位为天),图中工作D的自由时差和总时差分别是( )天。
A.0和3
B.1和0
C.1和1
D.1和3
61.某工程的网络计划如下图所示(时间单位为天),图中工作B和E之间、工作C和E之间的时间间隔分别是( )天。
A.1和0
B.5和4
C.0和0
D.4和4
62.当网络计划的计算工期大于要求工期时,为满足工期要求,可采用的调整方法是压缩( )的工作的持续时间。
A.持续时间最长
B.自由时差为零
C.总时差为零
D.时间间隔最小
63.单代号搭接网络计划中,关键线路的特点是线路上的( )。
A.关键工作总时差之和最大
B.工作时距之和最小
C.相邻工作无混合搭接关系
D.相邻工作时间间隔为零
64.工程总费用由直接费和间接费组成,随着工期的缩短,直接费和间接费的变化规律是( )。
A.直接费减少,间接费增加
B.直接费和间接费均增加
C.直接费增加,间接费减少
D.直接费和间接费均减少
65.某工作实施过程中的S曲线如下图所示,图中a和b两点的进度偏差状态是( )。
A.a点进度拖后和b点进度拖后
B.a点进度拖后和b点进度超前
C.a点进度超前和b点进度拖后
D.a点进度超前和b点进度超前
66.某工程进度计划执行过程中,发现某工作出现了进度偏差,经分析该偏差仅对后续工作有影响而对总工期无影响,则该偏差值应( )。
A.大于总时差,小于自由时差
B.大于总时差,大于自由时差
C.小于总时差,小于自由时差
D.小于总时差,大于自由时差
67.在建设工程设计阶段,会对进度造成影响的因素之一是( )。
A.可行性研究
B.建设意图及要求
C.工程材料供货洽谈
D.设计合同洽谈
68.监理工程师在审查施工进度计划的过程中发现问题,应采取的措施之一是( )。
A.向承包单位提出整改通知书
B.向建设单位提出指令单
C.向承包单位提出工程暂停令
D.向建设单位提出建议书
69.项目监理机构发布工程开工令的依据是( )。
A.施工承包合同约定
B.工程开工的准备情况
C.批准的施工总进度计划
D.施工图纸的准备情况
70.调整施工进度计划时,为了缩短某些工作的持续时间,可采取的技术措施之一是( )。
A.增加施工机械的数量
B.实行包干加奖励
C.改善外部配合条件
D.采用更先进的施工机械
71.当施工单位发生进度拖延且又未按监理工程师的指令改变延期状态时,监理工程师可以采取的手段是( )。
A.中止施工承包合同
B.拒绝签署付款凭证
C.向施工单位发出工程暂停令
D.调整施工计划工期
72.通过缩短某些工作的持续时间对施工进度计划进行调整的方法,其主要特点是( )。
A.增加网络计划中的关键线路
B.不改变工作之间的先后顺序关系
C.增加工作之间的时间间隔
D.不改变网络计划中的非关键线路
二、多项选择题
81.项目监理机构在施工阶段投资控制的主要工作有( )。
A.进行工程计量
B.对完成工程量进行偏差分析
C.审核竣工结算款
D.审核竣工决算款
E.处理费用索赔
82.下列费用中,属于建筑安装工程人工费的有( )。
A.特殊地区施工津贴
B.劳动保护费
C.社会保险费
D.职工福利费
E.支付给个人的物价补贴
83.下列费用中,属于建筑安装工程施工机具使用费的有( )。
A.施工机械临时故障排除所需的费用
B.机上司机的人工费
C.财产保险费
D.仪器仪表使用费
E.施工机械大修理费
84.取得国有土地使用费包括( )。
A.土地使用权出让金
B.青苗补偿费
C.城市建设配套费
D.拆迁补偿费
E.临时安置补助费
85.关于投资回收期的说法,正确的有( )。
A.静态投资回收期就是方案累计现值等于零时的时间(年份)
B.静态投资回收期是在不考虑资金时间价值的条件下,以项目的净收益回收其全部投资所需要的时间
C.静态投资回收期可以从项目投产年开始算起,但应予以注明
D.静态投资回收期可以从项目建设年开始算起,但应予以注明
E.动态投资回收期一般比静态投资回收期短
86.在价值工程的应用中,可用于方案创造的方法有( )。
A.因素分析法
B.头脑风暴法
C.强制确定法
D.哥顿法
E.德尔菲法
87.建筑工程概算编制的基本方法有( )。
A.实物量法
B.扩大单价法
C.概算指标法
D.估算指标法
E.预算单价法
88.关于投标报价的说法,正确的有( )。
A.投标报价中的某些分项工程报价可高于对应项目的招标控制价
B.招标文件中工程量清单项目特征描述与设计图纸不符时,投标人应以图纸中的项目特征描述为准,确定投标报价的综合单价
C.措施项目中的安全文明施工费不得作为投标报价中的竞争性费用
D.投标人不得更改投标文件中工程量清单所列的暂列金额
E.计日工的报价应按工程造价管理机构公布的单价计算
89.根据《建设工程工程量清单计价规范》,其他项目清单中的暂估价包括( )。
A.人工暂估价
B.材料暂估价
C.工程设备暂估价
D.专业工程暂估价
E.非专业工程暂估价
90.下列工程量中,监理人应予计量的有( )。
A.发包人设计变更增加的工程量
B.承包人原因施工质量超出合同要求增加的工程量
C.承包人超出设计图纸要求增加的工程量
D.监理人对隐蔽工程重新检查,经检验证明工程质量符合合同要求而增加的工程量
E.承包人原因导致返工的工程量
91.下列导致承包人成本增加和工期延误的索赔事件中,根据FIDIC《施工合同条件》1999年第一版,发包人可以给予承包人补偿工期、成本和利润的事件有( )。
A.现场发现化石、硬币或有价值的文物
B.法规改变
C.文件有缺陷或技术性错误
D.发包人未能提供现场
E.延误的图纸或指示
92.下列费用中,承包人可以获得补偿的有( )。
A.异常恶劣气候导致的人员窝工费
B.发包人责任导致工效降低所增加的人工费用
C.法定人工费增长增加的费用
D.发包人责任导致的施工机械窝工费
E.发包人责任引起工程延误导致的材料价格上涨费
93.工程竣工验收时,应当具备的条件有( )。
A.上级部门的批准文件
B.完整的技术档案与施工管理资料
C.工程竣工验收备案表
D.勘察、设计、施工、监理等单位分别签署的质量合格文件
E.施工单位签署的工程保修书
94.勘察单位对其编制的勘察文件质量负责,应履行的主要职责有( )。
A.审查基础工程施工方案
B.参与施工验槽
C.解决工程施工中的勘察问题
D.提出因勘察原因造成质量事故的技术处理方案
E.提出因设计原因造成质量事故的技术处理方案
95.根据质量管理体系标准要求,监理单位质量管理体系文件由( )组成。
A.规范与标准
B.设计文件与图纸
C.质量手册
D.程序文件
E.作业文件
96.在钢材进场时,应按相关标准进行检验,检验的主要内容包括( )。
A.产品合格证
B.运输通行证
C.出厂检验报告
D.货物单据
E.进场复验报告
97.在对进场水泥检验时,应判定为不合格的情况有( )。【相关知识点新教材已删除】
A.包装标志的水泥品种、强度等级、厂家名称等不全的
B.出厂超过三个月时间的
C.强度低于标准相应强度等级规定指标的
D.混合材料掺加量超过最高限量的
E.终凝时间不符合相应产品标准的
98.工程采用新工艺、新技术、新材料时,应满足的要求包括( )。
A.完成了相应试验并有相关质量指标
B.有权威性的技术鉴定书
C.制定了质量标准和工艺规程
D.符合现行强制性标准规定
E.有类似工程的应用
99.分包工程开工前,项目监理机构应审核施工单位报送的《分包单位资格报审表》及有关资料,对分包单位资格审核的基本内容包括( )。
A.分包单位资质及其业绩
B.分包单位专职管理人员和特种作业人员资格证书
C.安全生产许可文件
D.施工单位对分包单位的管理制度
E.分包单位施工规划
100.在工程施工中,总监理工程师应及时签发工程暂停令的情形有( )。
A.建设单位要求暂停施工经论证没必要暂停的
B.施工单位未按审查通过的工程设计文件施工的
C.施工单位拒绝项目监理机构管理的
D.施工单位违反工程建设强制性标准的
E.施工单位存在重大质量、安全事故隐患的
101.对施工单位提出的工程变更,总监理工程师应履行的职责有( )。
A.组织专业监理工程师审查变更申请并提出审查意见
B.提交原设计单位修改工程设计文件
C.组织专业监理工程师对变更费用及工期影响作出评估
D.组织相关单位共同协商变更费用及工期变化
E.组织会签工程变更单
102.设备制造过程质量状况记录资料的主要内容有( )。
A.设备制造单位质量管理检查资料
B.设备制造依据及工艺资料
C.设备制造材料的质量记录
D.设备制造过程的检查验收资料
E.设备订货的合同文件
103.根据《建筑工程施工质量验收统一标准》,分项工程可按( )划分。
A.施工工艺
B.设备类别
C.专业性质
D.施工程序
E.主要工种
104.工程施工过程中,检验批现场验收检查的原始记录应由( )共同签署。
A.建设单位项目负责人
B.施工单位项目技术负责人
C.施工单位专业质量检查员
D.专业监理工程师
E.施工单位专业工长
105.根据《建筑工程施工质量验收统一标准》,分部工程质量验收合格的规定有( )。
A.主控项目的质量均应验收合格
B.所含主要分项工程的质量验收合格
C.有关环境保护抽验检验结果符合规定
D.观感质量应符合要求
E.质量控制资料应完整
106.工程施工过程中,质量事故处理的基本要求有( )。
A.安全可靠,不留隐患
B.满足工程的功能和使用要求
C.技术可行,经济合理
D.满足建设单位的要求
E.造型美观,节能环保
107.工程施工过程中,质量事故处理方案的类型有( )。
A.修补处理
B.返工处理
C.补强处理
D.不做处理
E.检测处理
108.根据《建设工程监理规范》,如提供设计阶段相关服务,监理单位应审查设计成果并提出评估报告,其评估报告的主要内容有( )。
A.设计工作概况
B.设计深度的符合情况
C.设计任务书的完成情况
D.有关部门的备案情况
E.存在的问题及建议
109.关于建设工程网络计划技术特征的说法,正确的有( )。
A.计划评审技术(PERT)、图示评审技术(GERT)、风险评审技术(VERT)、关键线路法(CPM)等均属于非确定型网络计划
B.网络计划能够明确表达各项工作之间的逻辑关系
C.通过网络计划时间参数的计算,可以找出关键线路和关键工作
D.通过网络计划时间参数的计算,可以明确各项工作的机动时间
E.网络计划可以利用电子计算机进行计算、优化和调整
110.在对建设工程实施全过程监理的情况下,监理单位总进度计划的编制依据有( )。
A.施工单位的施工总进度计划
B.工程项目建设总进度计划
C.设计单位的设计总进度计划
D.工程项目可行性研究报告
E.工程项目前期工作计划
111.下列各类参数中,属于流水施工参数的有( )。
A.工艺参数
B.定额参数
C.空间参数
D.时间参数
E.机械参数
112.下列建设工程进度影响因素中,属于业主因素的有( )。
A.提供的场地不能满足工程正常需要
B.施工计划安排不周密导致相关作业脱节
C.临时停水、停电、断路
D.不能及时向施工承包单位付款
E.外单位临近工程施工干扰
113.某工程网图如下图所示,根据网络图的绘图规则,图中存在的错误有( )。
A.存在循环回路
B.存在无箭头的连线
C.箭线交叉处理有误
D.存在多起点节点
E.节点编号有误
114.某工程进度计划如下图所示(时间单位为天),图中的正确信息有( )。
A.关键节点组成的线路1-3-4-5-7为关键线路
B.关键线路有两条
C.工作E的自由时差为2天
D.工作E的总时差为2天
E.开始节点和结束节点为关键节点的工作A、工作C为关键工作
115.关于双代号时标网络计划特点的说法,正确的有( )。
A.无虚箭线的线路为关键线路
B.无波纹线的线路为关键线路
C.波纹线的长度为相邻工作之间的时间间隔
D.工作的总时差等于本工作至终点线路上波纹线长度之和
E.工作的最早开始时间等于工作开始节点对应的时标刻度值
116.网络计划的工期优化过程中,压缩关键工作的持续时间应优先选择( )的关键工作。
A.有充足备用资源
B.对质量影响较大
C.所需增加费用最少
D.持续时间最长
E.紧后工作最少
117.某项工作的计划进度、实际进度横道图如下图所示,检查时间为第六周末,图中正确的信息有( )。
A.第一周末进度正常
B.第二周末进度拖延5%
C.第三周没有作业
D.第五周末进度超前5%
E.检查日的进度正常
118.某双代号时标网络计划执行过程中的实际进度前锋线如下图所示,计划工期为12周,图中正确的信息有( )。
A.工作E进度正常,不影响总工期
B.工作G进度拖延1周,影响总工期1周
C.工作H进度拖延1周,影响总工期1周
D.工作I最早开始时间调后1周,计算工期不变
E.根据第7周末的检查结果,压缩工作K的持续时间1周,计划工期不变
119.下列导致工程拖期的原因或情形,监理工程师按合同规定可以批准工程延期的有( )。
A.异常恶劣的气候条件
B.属于承包单位自身以外的原因
C.工程拖期事件发生在非关键线路上,且延长的时间未超过总时差
D.工程拖期的时间超过其相应的总时差,且由分包单位原因引起
E.监理工程师对已隐蔽的工程进行剥离检查,经检查合格而拖期的时间
120.项目监理机构对施工进度计划审核的主要内容有( )。
A.施工进度计划应符合施工合同中工期的约定
B.对施工进度计划执行情况的检查应符合动态要求
C.施工顺序的安排应符合施工工艺要求
D.施工人员、工程材料、施工机械等资源供应计划应满足施工进度计划的需要
E.施工进度计划应符合建设单位提供的资金、施工图纸等施工条件
答案部分
------------------------------------------------------------------------------------------------------------------------------------------------
一、单项选择题
1.【答案】B
【解析】本题考查的是建设工程项目投资的特点。在建设工程项目中凡是具有独立的设计文件、竣工后可以独立发挥生产能力或工程效益的工程为单项工程。参见教材P2。
2.【答案】D
【解析】本题考查的是按费用构成要素划分的建筑安装工程费用项目组成。规费:(1)社会保险费;(2)住房公积金。参见教材P16。
3.【答案】B
【解析】本题考查的是按费用构成要素划分的建筑安装工程费用项目组成。企业管理费中的检验试验费:是指施工企业按照有关标准规定,对建筑以及材料、构件和建筑安装物进行一般鉴定、检查所发生的费用。参见教材P15。
4.【答案】C
【解析】本题考查的是建筑安装工程计价程序。分部分项工程费=41000(万元);措施项目费=41000×2.5%=1025(万元);其他项目费=800(万元);规费=41000×15%×8%=492(万元)。招标控制价=(41000+1025+800+492)×(1+9%)=47215.530(万元)。参见教材P24。
5.【答案】D
【解析】本题考查的是设备购置费组成及计算。增值税=(到岸价+进口关税+消费税)×增值税率;到岸价=51(万美元);进口关税=到岸价×关税税率=51×10%=5.1(万美元);增值税=(51+5.1+0)×13%×6.72=49.009(万元)。参见教材P29。
6.【答案】C
【解析】本题考查的是建设期利息。第1年应计利息=2000/2×6%=60(万元);第2年应计利息=(2000+60+3000/2)×6%=213.6(万元);建设期贷款利息=60+213.6=273.6(万元)。参见教材P36。
7.【答案】A
【解析】本题考查的是建筑安装工程费用计算方法。台班折旧费=机械预算价格×(1-残值率)/耐用总台班数=[300000×(1-2%)]/[10×225]=130.67(元)。参见教材P20。
8.【答案】B
【解析】本题考查的是资金时间价值的计算。年有效利率=(1+4%/2)2-1=4.04%,应支付利息I=100×[(1+4.04%)3-1]=12.616(万元)。参见教材P71。
9.【答案】B
【解析】本题考查的是财务分析的主要报表和主要指标。偿债能力指标包括资产负债率、利息备付率和偿债备付率。参见教材P83。
10.【答案】B
【解析】本题考查的是我国现行建设工程投资构成。建设投资=静态投资+涨价预备费=3460+80=3540(万元)。参见教材P11。
11.【答案】D
【解析】本题考查的是财务分析主要指标的计算。选项A错误,净现值不能直接说明在项目运营期各年的经营成果;选项B错误,在互斥方案评价时,净现值必须慎重考虑互斥方案的寿命,如果互斥方案寿命不等,必须构造一个相同的分析期限,才能进行方案比选;选项C错误,当方案的NPV≥0时,说明该方案能满足基准收益率要求的盈利水平,故在经济上是可行的;当方案的NPV<0时,说明该方案不能满足基准收益率要求的盈利水平,故在经济上是不可行的。参见教材P88。
12.【答案】B
【解析】本题考查的是价值工程的应用。成本累计之和=2840+2460+2300+2700=10300;各方案的成本系数分别为C甲=2840/10300=0.276,C乙=2460/10300=0.239,C丙=2300/10300=0.223,C丁=2700/10300=0.262;各方案的价值系数分别为V甲=0.202/0.276=0.732,V乙=0.286/0.239=1.197,V丙=0.249/0.223=1.117,V丁=0.263/0.262=1.004;乙方案的价值系数最大,为最优方案。参见教材P108。
13.【答案】D
【解析】本题考查的是施工图预算的审查内容与审查方法。“筛选法”的优点是简单易懂,便于掌握,审查速度快,便于发现问题。但问题出现的原因尚需继续审查。参见教材P127。
14.【答案】B
【解析】本题考查的是工程量清单编制。选项A错误,招标工程量清单必须作为招标文件的组成部分,其准确性和完整性由招标人负责;选项C错误,现行计量规范项目编码由十二位数字组成,一至九位应按现行计量规范的规定设置;选项D错误,措施项目清单为可调整清单,投标人对招标文件中所列项目,可根据企业自身特点做适当的变更增减。参见教材P131。
15.【答案】A
【解析】本题考查的是工程量清单编制。分部分项工程项目清单为不可调整的闭口清单。参见教材P130。
16.【答案】C
【解析】本题考查的是工程量清单编制。计日工是为了解决现场发生的零星工作的计价而设立的。参见教材P133。
17.【答案】A
【解析】本题考查的是合同价格分类。固定总价合同的适用范围有:(1)工程范围清楚明确,工程图纸完整、详细、清楚,报价的工程量应准确而不是估计数字;(2)工程量小、工期短,在工程过程中环境因素变化小,工程条件稳定;(3)工程结构、技术简单,风险小,报价估算方便;(4)投标期相对宽裕,承包商可以详细作现场调查,复核工程量,分析招标文件,拟定计划;(5)合同条件完备,双方的权利和义务关系十分清楚。参见教材P147。
18.【答案】D
【解析】本题考查的是合同计价方式。当实际成本大于预期成本时,承包人可以得到工程成本和酬金,但也可能会处予一笔罚金。参见教材P150。
19.【答案】A
【解析】本题考查的是单价合同计量。监理人应在收到承包人提交的工程量报告后7天内完成对承包人提交的工程量报表的审核并报送发包人,以确定当月实际完成的工程量。参见教材P161。
20.【答案】B
【解析】本题考查的是物价变化。当承包人投标报价中材料单价低于基准单价:施工期间材料单价涨幅以基准单价为基础超过合同约定的风险幅度值时,或材料单价跌幅以投标报价为基础超过合同约定的风险幅度值时,其超过部分按实调整。参见教材P168。
21.【答案】B
【解析】本题考查的是不可抗力。不可抗力可索赔(1)在建工程损失10万元;(4)工程清理和修复费用0.5万元。承包人受伤人员医药费和补偿金、施工机具损坏损失由承包人负责。参见教材P172。
22.【答案】D
【解析】本题考查的是暂列金额。已签约合同价中的暂列金额由发包人掌握使用。参见教材P173。
23.【答案】D
【解析】本题考查的是索赔的主要类型。不可预见的物质条件可索赔内容包括工期和费用。参见教材P182。
24.【答案】D
【解析】本题考查的是工程施工准备阶段的质量控制。工程开工前,监理人员应参加由建设单位主持召开的第一次工地会议,会议纪要应由项目监理机构负责整理,与会各方代表会签。参见《建设工程监理相关法规文件汇编》教材P133。
25.【答案】C
【解析】本题考查的是现场施工准备质量控制。施工控制测量成果及保护措施的检查、复核,包括:(1)施工单位测量人员的资格证书及测量设备检定证书;(2)施工平面控制网、高程控制网和临时水准点的测量成果及控制桩的保护措施。参见教材P113。
26.【答案】C
【解析】本题考查的是工程质量管理主要制度。工程质量监督管理:(1)执行法律法规和工程建设强制性标准的情况;(2)抽查涉及工程主体结构安全和主要使用功能的工程实体质量;(3)抽查工程质量责任主体(建设、勘察、设计、施工和监理单位)和质量检测等单位的工程质量行为;(4)抽查主要建筑材料、建筑构配件的质量;(5)对工程竣工验收进行监督;(6)组织或者参与工程质量事故的调查处理;(7)定期对本地区工程质量状况进行统计分析;(8)依法对违法违规行为实施处罚。参见教材P7。
27.【答案】A
【解析】本题考查的是基本材料性能检验。抗震钢筋伸长率的检验要求:(1)抗拉强度实测值与屈服强度实测值的比值不应小于1.25;(2)屈服强度实测值与屈服强度标准值的比值不应大于1.30;(3)最大力下总伸长率不应小于9%。参见教材P80。
28.【答案】C
【解析】本题考查的是ISO质量管理体系的质量管理原则及特征。持续改进的核心是提高有效性和效率,实现质量目标。参见教材P23。
29.【答案】D
【解析】本题考查的是质量管理体系的实施。质量管理体系要素管理到位的前提和保证是管理体系的识别能力,鉴别能力和解决能力。参见教材P36。
30.【答案】A
【解析】本题考查的是工程质量统计及抽样检验的基本原理和方法。样本中位数是将样本数据按数值大小有序排列后,位置居中的数值。当样本数n为奇数时,数列居中的一位数即为中位数;当样本数n为偶数时,取居中两个数的平均值作为中位数。参见教材P57。
31.【答案】B
【解析】本题考查的是抽样检验方法。选项A错误,计数抽样检验是对单位产品的质量采取计数的方法来衡量。选项C错误,计数抽样检验方案又可分为:一次抽样检验、二次抽样检验、多次抽样检验等。选项AD错误,一次抽样检验涉及三个参数(N,n,C)。而二次抽样检验则包括五个参数,即(N,n1,n2,C1,C2)。其中N—批量;n1—第一次抽取的样本数;n2—第二次抽取的样本数;C1—第一次抽取样本时的不合格判定数;C2—第二次抽取样本时的不合将判定数。参见教材P62。
32.【答案】B
【解析】本题考查的是工程质量统计分析方法。主要因素:0~80%;次要因素:80%~90%;一般因素:90%~100%。参见教材P67。
33.【答案】A
【解析】本题考查的是工程质量统计分析方法。选项A,出现七点链,应判定工序异常,需采取处理措施;选项BD,连续7点或7点以上上升或下降排列,就应判定生产过程有异常因素影响;选项C,在连续11点中有10点在同侧表示出现异常。参见教材P77。
34.【答案】D
【解析】本题考查的是实体检测。结构或构件混凝土抗压强度的检测,可采用回弹法、超声回弹综合法、钻芯法或后装拔出法等方法。选项D属于现浇混凝土板厚度的检测方法。参见教材P88。
35.【答案】B
【解析】本题考查的是施工组织设计审查。已签认的施工组织设计由项目监理机构报送建设单位。参见教材P110。
36.【答案】D
【解析】本题考查的是基本材料性能检验。钢绞线:①每批钢绞线应由同一钢号、同一规格、同一生产工艺的钢绞线组成,并不得大于60t;②钢绞线应逐盘进行表面质量、直径偏差和捻距的外观检查;③力学性能的抽样检验。应从每批钢绞线中任选3盘取样送检。在选定的各盘端部正常部位截取一根试样,进行拉力试验;④屈服强度和松弛试验应由厂方提供质量证明书或试验报告单。参见教材P81。
37.【答案】A
【解析】本题考查的是现场施工准备质量控制。分包工程开工前,项目监理机构应审核施工单位报送的分包单位资格报审表及有关资料,专业监理工程师进行审核并提出审查意见,符合要求后,应由总监理工程师审批并签署意见。参见教材P113。
38.【答案】D
【解析】本题考查的是现场施工准备的质量控制。总监理工程师应在开工日期7天前向施工单位发出工程开工令。工期自总监理工程师发出的工程开工令中载明的开工日期起计算。参见教材P119。
39.【答案】C
【解析】本题考查的是巡视与旁站。项目监理机构应根据工程特点和施工单位报送的施工组织设计,将影响工程主体结构安全的、完工后无法检测其质量的或返工会造成较大损失的部位及其施工过程作为旁站的关键部位、关键工序,安排监理人员进行旁站,并应及时记录旁站情况。参见教材P122。
40.【答案】B
【解析】本题考查的是施工组织设计审查。选项A,监理通知回复单,项目监理机构盖章,总监理工程师或专业监理工程师签字;选项C,分部工程报验表,项目监理机构盖章,总监理工程师签字;选项D,工程复工报审表,项目监理机构盖章,总监理工程师签字。参见教材P110。
41.【答案】C
【解析】本题考查的是混凝土结构材料的施工试验与检测。改善混凝土的工作性:流动性、黏聚性、塌落度损失(粉煤灰、硅灰、矿渣粉)。
42.【答案】D
【解析】本题考查的是施工组织设计审查。建设单位对施工组织设计签署审批意见(仅对超过一定规模的危险性较大分部分项工程专项方案)。参见教材P111。
43.【答案】B
【解析】本题考查的是设备制造的质量控制方式。对某些设备(如制造周期长的设备),则可采用巡回监控的方式。参见教材P199。
44.【答案】A
【解析】本题考查的是工程施工质量验收基本规定。涉及安全、节能、环境保护等项目的专项验收要求应由建设单位组织专家论证。参见教材P158。
45.【答案】B
【解析】本题考查的是分部工程质量验收。分部工程应由总监理工程师组织施工单位项目负责人和项目技术负责人等进行验收。参见教材P166。
46.【答案】B
【解析】本题考查的是单位工程质量验收。单位工程质量竣工验收记录按表6-12填写,表中的验收记录由施工单位填写,验收结论由监理单位填写。综合验收结论建设单位填写。参见教材P171。
47.【答案】B
【解析】本题考查的是检验批质量验收。检验批是工程施工质量验收的最小单位,是分项工程、分部工程、单位工程质量验收的基础。参见教材P155。
48.【答案】C
【解析】本题考查的是工程质量缺陷的成因。施工与管理不到位:不按图施工或未经设计单位同意擅自修改设计。施工组织管理紊乱,不熟悉图纸,盲目施工;施工方案考虑不周,施工顺序颠倒;图纸未经会审,仓促施工;技术交底不清,违章作业;疏于检查、验收等。参见教材P187。
49.【答案】C
【解析】本题考查的是工程质量事故等级划分。重大事故,是指造成10人以上30人以下死亡,或者50人以上100人以下重伤,或者5000万元以上1亿元以下直接经济损失的事故。参见教材P190。
50.【答案】C
【解析】本题考查的是工程质量事故处理。工程质量事故发生后,总监理工程师应签发《工程暂停令》,要求暂停质量事故部位和与其有关联部位的施工,要求施工单位采取必要的措施,防止事故扩大并保护好现场。参见教材P192。
51.【答案】C
【解析】本题考查的是工程质量事故处理。对于涉及结构安全和加固处理等的重大技术处理方案,一般由原设计单位提出。参见教材P193。
52.【答案】D
【解析】本题考查的是工程勘察质量管理。项目监理机构对勘察成果的审查是勘察阶段质量控制最重要的工作,包括程序性审查和技术性审查。参见教材P96。
53.【答案】A
【解析】本题考查的是工程设计质量管理。施工图设计评审的重点是:使用功能是否满足质量目标和标准,设计文件是否齐全、完整,设计深度是否符合规定。BCD初步设计评审满足的要求。参见教材P101。
54.【答案】B
【解析】本题考查的是成倍节拍流水施工。施工过程数目n=3,施工段数目m=4,流水步距等于流水节拍的最大公约数,K=min{6,6,9}=3,专业工作队数=(6/3)+(6/3)+(9/3)=7(个),流水施工工期=(4+7-1)×3=30(天)。参见教材P30。
55.【答案】C
【解析】本题考查的是流水施工方式。平行施工的特点之一是:充分利用工作面进行施工,工期短。参见教材P21。
56.【答案】D
【解析】本题考查的是网络图的组成。在双代号网络图中,有时存在虚箭线,虚箭线不代表实际工作,称为虚工作。虚工作既不消耗时间,也不消耗资源。虚工作主要用来表示相邻两项工作之间的逻辑关系。参见教材P36。
57.【答案】B
【解析】本题考查的是网络计划时间参数的概念。计算工期是根据网络计划时间参数计算而得到的工期。参见教材P45。
58.【答案】A
【解析】本题考查的是网络计划时间参数的概念。工作的总时差是指在不影响总工期的前提下,本工作可以利用的机动时间。参见教材P45。
59.【答案】A
【解析】本题考查的是网络计划时间参数的概念。工作E的最早完成时间=max{EFA,EFB}+DE=max{5,3}+3=5+3=8(天),工作E的最迟完成时间=LSG=10(天)。参见教材P45。
60.【答案】D
【解析】本题考查的是双代号网络计划时间参数的计算。工作D的最早开始时间为3天,最早完成时间为5天;最迟开始时间为6天,最迟完成时间为8天;紧后工作G的最早开始时间为6天;FFD=ESG-EFD=6-5=1(天),TFD=EFD-ESD=6-3=3(天)。参见教材P48。
61.【答案】A
【解析】本题考查的是单代号网络计划时间参数的计算。相邻两项工作之间的时间间隔是指其紧后工作的最早开始时间与本工作最早完成时间的差值,即:LAGi,j=ESj-EFi。E工作的最早开始时间为9天,B工作的最早完成时间为8天,LAGB,E=9-8=1(天);C工作的最早完成时间为9天,LAGC,E=9-9=0(天)参见教材P56。
62.【答案】C
【解析】本题考查的是工期优化。网络计划工期优化的基本方法是在不改变网络计划中各项工作之间逻辑关系的前提下,通过压缩关键工作的持续时间来达到优化目标。当计算工期等于计划工期时,总时差为零的工作为关键工作。参见教材P66。
63.【答案】D
【解析】本题考查的是单代号搭接网络计划。即从搭接网络计划的终点节点开始,逆着箭线方向依次找出相邻两项工作之间时间间隔为零的线路就是关键线路。关键线路上的工作即为关键工作,关键工作的总时差最小。参见教材P83。
64.【答案】C
【解析】本题考查的是费用优化。工程总费用由直接费和间接费组成。直接费由人工费、材料费、施工机具使用费、措施费及现场经费等组成。施工方案不同,直接费也就不同;如果施工方案一定,工期不同,直接费也不同。直接费会随着工期的缩短而增加。间接费包括企业经营管理的全部费用,一般会随着工期的缩短而减少。参见教材P69~70。
65.【答案】C
【解析】本题考查的是S曲线比较法。如果工程实际进展点落在计划S曲线左侧,表明此时实际进度比计划进度超前;如果工程实际进展点落在S计划曲线右侧,表明此时实际进度拖后。参见教材P97。
66.【答案】D
【解析】本题考查的是分析进度偏差对后续工作及总工期的影响。如果工作的进度偏差未超过该工作的总时差,则此进度偏差不影响总工期。如果工作的进度偏差大于该工作的自由时差,则此进度偏差将对其后续工作产生影响。参见教材P103。
67.【答案】B
【解析】本题考查的是影响设计进度的因素。影响设计进度的因素包括:(1)建设意图及要求改变的影响;(2)设计审批时间的影响;(3)设计各专业之间协调配合的影响;(4)工程变更的影响;(5)材料代用、设备选用失误的影响。参见教材P113。
68.【答案】A
【解析】本题考查的是建设工程施工进度控制工作内容。如果监理工程师在审查施工进度计划的过程中发现问题,应及时向承包单位提出书面修改意见(也称整改通知书),并协助承包单位修改。其中重大问题应及时向业主汇报。参见教材P121。
69.【答案】B
【解析】本题考查的是建设工程施工进度控制工作内容。监理工程师应根据承包单位和业主双方关于工程开工的准备情况,选择合适的时机发布工程开工令。参见教材P121。
70.【答案】D
【解析】本题考查的是施工进度计划的调整。缩短某些工作的持续时间,可采取的技术措施包括:(1)改进施工工艺和施工技术,缩短工艺技术间歇时间;(2)采用更先进的施工方法,以减少施工过程的数量(如将现浇框架方案改为预制装配方案);(3)采用更先进的施工机械。参见教材P132。
71.【答案】B
【解析】本题考查的是工程延误的处理。当承包单位的施工进度拖后且又不采取积极措施时,监理工程师可以采取拒绝签署付款凭证的手段制约承包单位。参见教材P135~136。
72.【答案】B
【解析】本题考查的是施工进度计划的调整。施工进度计划的调整方法主要有两种,一是通过缩短某些工作的持续时间来缩短工期;一是通过改变某些工作间的逻辑关系来缩短工期。通过缩短某些工作的持续时间对施工进度计划进行调整时,其特点是不改变工作之间的先后顺序关系,通过缩短网络计划中关键线路上工作的持续时间来缩短工期。参见教材P132。
二、多项选择题
81.【答案】ABCE
【解析】本题考查的是我国项目监理机构在建设工程投资控制中的主要工作。施工阶段投资控制的主要工作包括:(1)进行工程计量和付款签证;(2)对完成工程量进行偏差分析;(3)审核竣工结算款;(4)处理施工单位提出的工程变更费用;(5)处理费用索赔。参见教材P8。
82.【答案】AE
【解析】本题考查的是按费用构成要素划分的建筑安装工程费用项目组成。人工费组成内容:(1)计时工资或计件工资;(2)奖金;(3)津贴补贴;(4)加班加点工资;(5)特殊情况下支付的工资。参见教材P13。
83.【答案】ABDE
【解析】本题考查的是按费用构成要素划分的建筑安装工程费用项目组成。施工机具使用费是指施工作业所发生的施工机械、仪器仪表使用费或其租赁费。施工机械使用费的7项组成内容:折旧费;大修理费;经常修理费;安拆费及场外运费;人工费(机上司机(司炉)和其他操作人员的人工费);燃料动力费;税费(车船使用税、保险费及年检费)。参见教材P15。
84.【答案】ACDE
【解析】本题考查的是工程建设其他费用。取得国有土地使用费包括:土地使用权出让金、城市建设配套费、拆迁补偿与临时安置补助费等。参见教材P32。
85.【答案】BCD
【解析】本题考查的是投资回收期。静态投资回收期是在不考虑资金时间价值的条件下,以项目的净收益回收其全部投资所需要的时间。投资回收期可以自项目建设开始年算起,也可以自项目投产年开始算起,但应予以注明。参见教材P86。
86.【答案】BDE
【解析】本题考查的是价值工程的应用。而方案创造的过程是思想高度活跃地、进行创造性开发的过程。为了引导和启发创造性的思考,比较常用的方法有以下几种:(1)头脑风暴法;(2)哥顿法;(3)专家意见法(又称德尔菲法);(4)专家检查法。参见教材P111。
87.【答案】BC
【解析】本题考查的是设计概算编制办法。编制建筑单位工程概算一般有扩大单价法、概算指标法两种,可根据编制条件、依据和要求的不同适当选取。参见教材P114。
88.【答案】ACD
【解析】本题考查的是投标报价审核方法。选项B错误,在招投标过程中,当出现招标工程量清单特征描述与设计图纸不符时,投标人应以招标工程量清单的项目特征描述为准,确定投标报价的综合单价;选项E错误,计日工应按照招标工程量清单列出的项目和估算的数量,自主确定综合单价并计算计日工金额。参见教材P142。
89.【答案】BCD
【解析】本题考查的是工程量清单编制。暂估价包括材料暂估价、工程设备暂估价和专业工程暂估价。参见教材P132。
90.【答案】AD
【解析】本题考查的是工程计量的依据。选项A正确,施工中进行工程量计量时,当发现招标工程量清单中出现缺项、工程量偏差,或因工程变更引起工程量增减时,应按承包人在履行合同义务中实际完成的工程量计量;选项D正确,监理人对隐蔽工程重新检查,经检验证明工程质量符合合同要求的工程量,可以向建设单位索赔费用,即这部分工程量应予计量。选项BDE均属于承包人原因造成的,不予计量。参见教材P160。
91.【答案】CDE
【解析】本题考查的是索赔的主要类型。选项A错误,现场发现化石、硬币或有价值的文物只能索赔工期和成本;选项B错误,法规改变只能索赔工期和成本。参见教材P183。
92.【答案】BCDE
【解析】本题考查的是索赔费用的计算。人工费的索赔包括:(1)完成合同之外的额外工作所花费的人工费用;(2)由于非承包人责任的工效降低所增加的人工费用;(3)超过法定工作时间加班增加的费用;(4)法定人工费增长以及非承包人责任工程延误导致的人员窝工费和工资上涨费等。材料费的索赔包括:(1)由于索赔事项材料实际用量超过计划用量而增加的材料费;(2)由于客观原因材料价格大幅度上涨;(3)由于非承包人责任工程延误导致的材料价格上涨和超期储存费用。施工机具使用费的索赔包括:(1)由于完成额外工作增加的机械、仪器仪表使用费;(2)非承包人责任工效降低增加的机械、仪器仪表使用费;(3)由于发包人或监理工程师原因导致机械、仪器仪表停工的窝工费。参见教材P185。
93.【答案】BDE
【解析】本题考查的是工程质量管理主要制度。建设工程竣工验收应当具备下列条件:(1)完成建设工程设计和合同约定的各项内容;(2)有完整的技术档案和施工管理资料;(3)有工程使用的主要建筑材料、建筑构配件和设备的进场试验报告;(4)有勘察、设计、施工、工程监理等单位分别签署的质量合格文件;(5)有施工单位签署的工程保修书。参见教材P9。
94.【答案】BCD
【解析】本题考查的是工程勘察各阶段质量要求。工程勘察企业应履行的质量工作包括:(1)健全勘察质量管理体系和质量责任制度。(2)有权拒绝用户提出的违反国家有关规定的不合理要求,有权提出保证工程勘察质量所必需的现场工作条件和合理工期。(3)参与施工验槽,及时解决工程设计和施工中与勘察工作有关的问题。(4)参与建设工程质量事故的分析,并对因勘察原因造成的质量事故,提出相应的技术处理方案。(5)项目负责人、审核人、审定人及有关技术人员应当具有相应的技术职称或者注册资格。参见教材P95。
95.【答案】CDE
【解析】本题考查的是质量管理体系的建立。根据质量管理体系标准的要求,工程监理单位的质量管理体系文件由三个层次的文件构成。第一层次:质量手册;第二层次:程序文件;第三层次:作业文件。参见教材P31。
96.【答案】ACE
【解析】本题考查的是基本材料性能检验。钢材进场时,应按国家相关标淮的规定抽取试件进行力学性能和重量偏差检验,检验结果必须符合有关标准的规定。检验方法:产品出厂合格证、出厂检验报告和进场复验报告。参见教材P79。
97.【答案】ACDE
【解析】本题考查的是混凝土结构材料的施工试验与检测。水泥的废品与不合格品:(1)水泥中的氧化镁、三氧化硫、初凝时间、安定性中的任一不符合规定,均为废品。(2)细度、终凝时间、不溶物和烧失量,任一不符合标准或混合材料掺加量超过最高限量或强度低于商品强度等级,不合格。(3)水泥包装标志中水泥品种、强度等级、厂家名称和出厂编号不全的,不合格品。(4)强度等级低于标准相应强度等级规定指标时为不合格品,可按实际复验结果降级使用。
98.【答案】ABC
【解析】本题考查的是施工质量控制的依据。采用新工艺、新技术、新材料的工程事先应进行试验,并应有权威性技术部门的技术鉴定书及有关的质量数据、指标,在此基础上制定相应的质量标准和施工工艺规程,以此作为判断与控制质量的依据。如采用的“三新”不符合现行强制性标准规定,应当由拟采用单位提请建设单位组织专题技术论证,报批准标准的建设行政主管部门或者国务院有关主管部门审定。参见教材P104。
99.【答案】ABC
【解析】本题考查的是现场施工准备的质量控制。分包单位资格审核应包括的基本内容:(1)营业执照、企业资质等级证书;(2)安全生产许可文件;(3)类似工程业绩;(4)专职管理人员和特种作业人员的资格。参见教材P113。
100.【答案】BDE
【解析】本题考查的是监理通知单、工程暂停令、工程复工令的签发。项目监理机构发现下列情形之一时,总监理工程师应及时签发工程暂停令:(1)建设单位要求暂停施工且工程需要暂停施工的;(2)施工单位未经批准擅自施工或拒绝项目监理机构管理的(后者视情况);(3)施工单位未按审查通过的工程设计文件施工的;(4)施工单位违反工程建设强制性标准的;(5)施工存在重大质量、安全事故隐患或发生质量、安全事故的。参见教材P141。
101.【答案】ACDE
【解析】本题考查的是工程变更的控制。对于施工单位提出的工程变更,项目监理机构可按下列程序处理:(1)总监理工程师组织专业监理工程师审查施工单位提出的工程变更申请,提出审查意见。对涉及工程设计文件修改的工程变更,应由建设单位转交原设计单位修改工程设计文件。必要时,项目监理机构应建议建设单位组织设计、施工等单位召开论证工程设计文件修改方案的专题会议。(2)总监理工程师组织专业监理工程师对工程变更费用及工期影响作出评估。(3)总监理工程师组织建设单位、施工单位等共同协商确定工程变更费用及工期变化,会签工程变更单。(4)项目监理机构根据批准的工程变更文件监督施工单位实施工程变更。参见教材P145。
102.【答案】ABCD
【解析】本题考查的是设备制造的质量控制内容。质量记录资料包括质量管理资料,设备制造依据,制造过程的检查、验收资料,设备制造原材料、构配件的质量资料等。详细内容有:(1)设备制造单位质量管理检查资料;(2)设备制造依据及工艺资料;(3)设备制造材料的质量记录;(4)零部件加工检查验收资料。参见教材P202。
103.【答案】ABE
【解析】本题考查的是工程施工质量验收层次划分及目的。分项工程,是分部工程的组成部分。可按主要工种、材料、施工工艺、设备类别进行划分。参见教材P156。
104.【答案】CDE
【解析】本题考查的是检验批质量验收。检验批质量验收记录填写时应具有现场验收检查原始记录,原始记录应由专业监理工程师和施工单位专业质量检查员、专业工长共同签署。参见教材P159。
105.【答案】CDE
【解析】本题考查的是分部工程质量验收。分部(子分部)工程质量验收合格的规定:(1)所含分项工程的质量均应验收合格;(2)质量控制资料应完整;(3)有关安全、节能、环境保护和主要使用功能的抽样检验结果应符合相应规定;(4)观感质量应符合要求。参见教材P166。
106.【答案】ABC
【解析】本题考查的是工程质量事故处理。基本要求:安全可靠,不留隐患;满足建筑物的功能和使用要求;技术可行,经济合理。参见教材P193。
107.【答案】ABD
【解析】本题考查的是工程质量事故处理。质量事故处理方案的类型:(1)修补处理;(2)返工处理;(3)不做处理。参见教材P194。
108.【答案】ABCE
【解析】本题考查的是工程设计质量管理。评估报告包括:(1)设计工作概况;(2)设计深度、与设计标准的符合情况;(3)设计任务书的完成情况;(4)有关部门审查意见的落实情况;(5)存在的问题及建议。参见教材P99。
109.【答案】BCDE
【解析】本题考查的是建设工程进度计划的表示方法。选项A错误,计划评审技术(PERT)、图示评审技术(GERT)、风险评审技术(VERT)、决策关键线路法(DN)等均属于非确定型网络计划。参见教材P14。
110.【答案】BDE
【解析】本题考查的是监理单位的计划系统。监理总进度计划是依据工程项目可行性研究报告、工程项目前期工作计划和工程项目建设总进度计划编制。参见教材P9。
111.【答案】ACD
【解析】本题考查的是流水施工参数。流水施工参数有工艺参数、空间参数、时间参数。参见教材P22。
112.【答案】AD
【解析】本题考查的是影响进度的因素分析。选项B属于组织管理因素;选项CE属于社会环境因素。参见教材P2。
113.【答案】BC
【解析】本题考查的是双代号网络图的绘制。②、③存在无箭头的连线;D、E工作箭线交叉处理有误,应采用过桥法和指向法。参见教材P38。
114.【答案】BCD
【解析】本题考查的是节点法。选项A错误,选项B正确,关键线路有1-3-4-5-6-7、1-3-4-7两条;选项C正确,TFE=本工作的最迟完成时间-本工作的最早完成时间=8-(3+3)=2(天);选项D正确,FFE=紧后工作的最早开始时间-本工作的最早完成时间=8-(3+3)=2(天);选项E错误,工作C为非关键工作。参见教材P50。
115.【答案】BE
【解析】本题考查的是双代号时标网路计划。选项A错误,凡自始至终不出现波形线的线路即为关键线路,关键线路中可能出现虚箭线;选项C错误,除以终点节点为完成节点的工作外,工作箭线中波形线的水平投影长度表示工作与其紧后工作之间的时间间隔;选项D错误,工作的总时差等于本工作至终点线路上波纹线长度之和的最小值。参见教材P62。
116.【答案】AC
【解析】本题考查的是工期优化。选择压缩对象时宜在关键工作中考虑下列因素:(1)缩短持续时间对质量和安全影响不大的工作;(2)有充足备用资源的工作;(3)缩短持续时间所需增加的费用最少的工作。参见教材P66。
117.【答案】CE
【解析】本题考查的是横道图比较法。选项A错误,第一周末实际进度为8%,计划进度为10%,进度拖后2%;选项B错误,第二周末进度超前5%;选项D错误,第五周末进度拖后5%。参见教材P95。
118.【答案】ABE
【解析】本题考查的是前锋线比较法。选项C错误,工作H进度拖延1周,但是其总时差为2周,不影响总工期;选项D错误,工作I为关键工作,若调后1周,则工期拖延1周。参见教材P101。
119.【答案】ABE
【解析】本题考查的是工程延期。由于以下原因导致工程拖期,承包单位有权提出延长工期的申请,监理工程师应按合同规定,批准工程延期时间。(1)监理工程师发出工程变更指令而导致工程量增加;(2)合同所涉及的任何可能造成工程延期的原因,如延期交图、工程暂停、对合格工程的剥离检查及不利的外界条件等;(3)异常恶劣的气候条件;(4)由业主造成的任何延误、干扰或障碍,如未及时提供施工场地、未及时付款等;(5)除承包单位自身以外的其他任何原因。参见教材P133。
120.【答案】ACDE
【解析】本题考查的是建设工程施工进度控制工作内容。施工进度计划审核的内容主要有:(1)进度安排是否符合工程项目建设总进度计划中总目标和分目标的要求,是否符合施工合同中开工、竣工日期的规定。(2)施工总进度计划中的项目是否有遗漏,分期施工是否满足分批动用的需要和配套动用的要求。(3)施工顺序的安排是否符合施工工艺的要求。(4)劳动力、材料、构配件、设备及施工机具、水、电等生产要素的供应计划是否能保证施工进度计划的实现,供应是否均衡,需求高峰期是否有足够能力实现计划供应。(5)总包、分包单位分别编制的各项单位工程施工进度计划之间是否相协调,专业分工与计划衔接是否明确合理。(6)对于业主负责提供的施工条件(包括资金、施工图纸、施工场地、采供的物资等),在施工进度计划中安排得是否明确、合理,是否有造成因业主违约而导致工程延期和费用索赔的可能存在。参见教材P120。














![[em2_01]](https://live.cdeledu.com/web/images/emoji/01.png)
![[em2_02]](https://live.cdeledu.com/web/images/emoji/02.png)
![[em2_03]](https://live.cdeledu.com/web/images/emoji/03.png)
![[em2_04]](https://live.cdeledu.com/web/images/emoji/04.png)
![[em2_05]](https://live.cdeledu.com/web/images/emoji/05.png)
![[em2_06]](https://live.cdeledu.com/web/images/emoji/06.png)
![[em2_07]](https://live.cdeledu.com/web/images/emoji/07.png)
![[em2_08]](https://live.cdeledu.com/web/images/emoji/08.png)
![[em2_09]](https://live.cdeledu.com/web/images/emoji/09.png)
![[em2_10]](https://live.cdeledu.com/web/images/emoji/10.png)
![[em2_11]](https://live.cdeledu.com/web/images/emoji/11.png)
![[em2_12]](https://live.cdeledu.com/web/images/emoji/12.png)
![[em2_13]](https://live.cdeledu.com/web/images/emoji/13.png)
![[em2_14]](https://live.cdeledu.com/web/images/emoji/14.png)
![[em2_15]](https://live.cdeledu.com/web/images/emoji/15.png)
![[em2_16]](https://live.cdeledu.com/web/images/emoji/16.png)
![[em2_17]](https://live.cdeledu.com/web/images/emoji/17.png)
![[em2_18]](https://live.cdeledu.com/web/images/emoji/18.png)
![[em2_19]](https://live.cdeledu.com/web/images/emoji/19.png)
![[em2_20]](https://live.cdeledu.com/web/images/emoji/20.png)






扫一扫立即下载
扫码添加老师