2023年监理工程师土建控制考试试题答案41-45题
41.在工程网络计划中,关于计划工期的说法,正确的是( )。
A.当有要求工期时,计划工期不大于要求工期
B.当未规定要求工期时,计划工期可小于计算工期
C.根据网络计划确定计划工期时,计划工期须等于计算工期
D.根据网络计划确定计划工期时,可不考虑要求工期
【答案】A
【解析】本题考查的是工作持续时间和工期。计划工期是指根据要求工期和计算工期所确定的作为实施目标的工期。当已规定了要求工期时,计划工期不应超过要求工期;当未规定要求工期时,可令计划工期等于计算工期。参见教材P45。
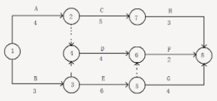
42.某工程网络计划如下图所示,工作D的最迟开始时间和总时差分别是( )。
A.6和2
B.6和4
C.7和2
D.7和3
【答案】D
【解析】本题考查的是双代号网络计划时间参数的计算。
工作D的总时差为3,最迟开始时间=4+3=7。参见《进度控制》教材P47~49。
43.工程单代号网络计划中,工作总时差是指( )。
A.本工作与其紧后工作之间的时间间隔
B.本工作与其紧后工作之间时间间隔的最小值
C.本工作与其紧后工作之间时间间隔加该紧后工作总时差之和的最小值
D.本工作与其紧后工作之间时间间隔加该紧后工作总时差之和的最大值
【答案】C
【解析】本题考查的是单代号网络计划时间参数的计算。其他工作的总时差应等于本工作与其各紧后工作之间的时间间隔加该紧后工作的总时差所得之和的最小值。参见《进度控制》教材P57。
44.某工程双代号时标网络计划如下图,工作C的最早开始时间和总时差分别是( )。
A.3和2
B.3和1
C.2和2
D.2和1
【答案】B
【解析】本题考查的是时标网络计划中时间参数的判定。工作C的最早开始时间可以直接由图可得,为3天;工作C的总时差=min{1,3+2}=1天。参见《进度控制》教材P62~63。
45.工程网络计划资源优化的目标是( )。
A.工期固定条件下寻求资源均衡
B.工期固定条件下寻求资源需求最小
C.资源供应充足条件下寻求最短工期
D.寻求资源需求最小时的工期安排
【答案】A
【解析】本题考查的是资源优化。在通常情况下,网络计划的资源优化分为两种,即“资源有限,工期最短”的优化和“工期固定,资源均衡”的优化。前者是通过调整计划安排,在满足资源限制条件下,使工期延长最少的过程;而后者是通过调整计划安排,在工期保持不变的条件下,使资源需用量尽可能均衡的过程。参见《进度控制》教材P75~76。








![[em2_01]](https://live.cdeledu.com/web/images/emoji/01.png)
![[em2_02]](https://live.cdeledu.com/web/images/emoji/02.png)
![[em2_03]](https://live.cdeledu.com/web/images/emoji/03.png)
![[em2_04]](https://live.cdeledu.com/web/images/emoji/04.png)
![[em2_05]](https://live.cdeledu.com/web/images/emoji/05.png)
![[em2_06]](https://live.cdeledu.com/web/images/emoji/06.png)
![[em2_07]](https://live.cdeledu.com/web/images/emoji/07.png)
![[em2_08]](https://live.cdeledu.com/web/images/emoji/08.png)
![[em2_09]](https://live.cdeledu.com/web/images/emoji/09.png)
![[em2_10]](https://live.cdeledu.com/web/images/emoji/10.png)
![[em2_11]](https://live.cdeledu.com/web/images/emoji/11.png)
![[em2_12]](https://live.cdeledu.com/web/images/emoji/12.png)
![[em2_13]](https://live.cdeledu.com/web/images/emoji/13.png)
![[em2_14]](https://live.cdeledu.com/web/images/emoji/14.png)
![[em2_15]](https://live.cdeledu.com/web/images/emoji/15.png)
![[em2_16]](https://live.cdeledu.com/web/images/emoji/16.png)
![[em2_17]](https://live.cdeledu.com/web/images/emoji/17.png)
![[em2_18]](https://live.cdeledu.com/web/images/emoji/18.png)
![[em2_19]](https://live.cdeledu.com/web/images/emoji/19.png)
![[em2_20]](https://live.cdeledu.com/web/images/emoji/20.png)






扫一扫立即下载
扫码添加老师