书山有路勤为径,学海无涯苦作舟。2020年监理工程师考试已经结束,想要备考2021年监理工程师考试的小伙伴们要准备起来啦!小编为大家整理了监理工程师知识点相关习题,小伙伴们快做起来吧!
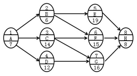
某工程单代号网络计划如下图所示(时间单位:天),下列说法错误的是( )。

A、工作E是关键工作
B、工作B的自由时差为0
C、工作D的总时差为2天
D、工作F的最迟开始时间为22天
【正确答案】 A
【答案解析】 本题考查的是单代号网络计划有关时间参数的计算。经计算可知关键线路为A→C→G→H;工作F的最迟开始时间为22天;工作D的总时差为2天;工作B的自由时差为0;工作E为非关键工作。参见教材P55。
学员讨论(0)





![[em2_01]](https://live.cdeledu.com/web/images/emoji/01.png)
![[em2_02]](https://live.cdeledu.com/web/images/emoji/02.png)
![[em2_03]](https://live.cdeledu.com/web/images/emoji/03.png)
![[em2_04]](https://live.cdeledu.com/web/images/emoji/04.png)
![[em2_05]](https://live.cdeledu.com/web/images/emoji/05.png)
![[em2_06]](https://live.cdeledu.com/web/images/emoji/06.png)
![[em2_07]](https://live.cdeledu.com/web/images/emoji/07.png)
![[em2_08]](https://live.cdeledu.com/web/images/emoji/08.png)
![[em2_09]](https://live.cdeledu.com/web/images/emoji/09.png)
![[em2_10]](https://live.cdeledu.com/web/images/emoji/10.png)
![[em2_11]](https://live.cdeledu.com/web/images/emoji/11.png)
![[em2_12]](https://live.cdeledu.com/web/images/emoji/12.png)
![[em2_13]](https://live.cdeledu.com/web/images/emoji/13.png)
![[em2_14]](https://live.cdeledu.com/web/images/emoji/14.png)
![[em2_15]](https://live.cdeledu.com/web/images/emoji/15.png)
![[em2_16]](https://live.cdeledu.com/web/images/emoji/16.png)
![[em2_17]](https://live.cdeledu.com/web/images/emoji/17.png)
![[em2_18]](https://live.cdeledu.com/web/images/emoji/18.png)
![[em2_19]](https://live.cdeledu.com/web/images/emoji/19.png)
![[em2_20]](https://live.cdeledu.com/web/images/emoji/20.png)






扫一扫立即下载
扫码添加老师