各位备考房地产估价师的小伙伴复习得怎么样啦?今天网校为大家准备的是土地估价基础与实务的高频考点,也是同学们比较容易弄混的考点——收益还原法,最后还有经典例题供大家练习,一起来巩固一下吧~
收益还原法是将待估宗地未来正常年纯收益(年租),以一定的土地还原率还原,以此估算待估宗地价格的方法。
收益还原法适用于有现实收益或潜在收益的土地估价。
1.纯收益不变,且永续,各相关因素不变
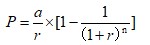
P—土地收益价格
a—土地纯收益(或地租),每年不变
r—土地还原利率,固定且大于零
2.纯收益不变,收益年限有限,各相关因素不变

P、a、r含义同前
n—未来土地收益年期
上述为两种常见的计算公式及适用情形,收益还原法还有其他公式,如土地纯收益流量每年按等差级数递增或递减、土地纯收益流量每年按某个固定的比率递增或递减、预知未来若干年后的土地价格等公式,其计算公式同《房地产估价原理与方法》教材第八章收益法中报酬资本化法的相应公式。
1.收集相关资料
收集的资料包括待估宗地和与待估宗地特征相同或相似的宗地用于出租或经营时的年平均总收益与总费用资料等。
(1)对出租性土地及房屋宜收集3年以上的租赁资料;
(2)对营业性土地及房屋宜收集5年以上的营运资料;
(3)直接生产用地应收集过去5年中原料、人工及产品的市场价格资料。
2.测算年总收益
年总收益是指待估宗地按最有效利用方式出租或自行使用,在正常情况下,合理利用土地应取得持续而稳定的客观年收益或年租金,包括租金收入、押金利息收入等。对总收益的收益期超过或不足1年的,要统一折算为年土地总收益。估算年总收益,应考虑客观闲置损失。
3.确定年总费用
年总费用是指利用土地进行经营活动并取得相应收益时正常合理的必要年支出。确定土地年总费用时,应根据土地利用方式进行具体分析。对总费用的支出期超过或不足1年的,要统一折算为年土地总费用。
4.计算年纯收益
总纯收益按总收益扣除总费用计算。土地纯收益是在总纯收益中扣除非土地因素所产生的纯收益后的剩余额。土地纯收益计算见下表。
用地方式 | 年总费用 | 土地纯收益 |
土地租赁 | 土地使用税、土地管理费、土地维护费及其他税费 | 土地纯收益=年租金收入-年总费用 |
不动产出租 | 经营管理费、经营维修费、房屋年保险费、房产税及其他税费 | 土地纯收益=不动产纯收益-房屋纯收益 不动产纯收益=不动产年总收益-不动产年总费用 房屋纯收益=房屋现值×建筑物还原率 房屋现值=房屋重置价×成新度=房屋重置价-房屋折旧总额 |
经营性项目 | 销售成本、销售费用、经营管理费、销售税金、财务费用及经营利润等 | 土地纯收益=企业经营纯收益-非土地资产纯收益 企业经营纯收益=年经营总收入-年经营总费用 |
生产性项目 | 生产成本(包括原材料费、人工费、运输费等)、产品销售费用、产品销售税金及附加、财务费用、管理费用及企业利润 | 土地纯收益=企业生产纯收益-非土地资产纯收益 企业生产纯收益=年生产总收入-年生产总费用 |
5.确定土地还原率
土地还原率的确定方法:(1)土地纯收益与价格比率法;(2)安全利率加风险调整值法;
(3)投资风险与投资收益率综合排序插入法。综合还原率、土地还原率和建筑物还原率的关系:
6.选用适当的计算公式
在估价实务中,应根据具体情况,选择适当的计算公式。
7.测算收益价格
根据已选择的公式计算土地收益价格。
【例题•不定项】某房地产的年净收益为60万元,建筑物价格为200万元,建筑物还原率为12%,土地使用年限为30年,土地报酬率为6%,该房地产的价格为( )万元。
A.489.99
B.495.53
C.695.53
D.800.00
【答案】C
【解析】建筑物年净收益=建筑物价格×建筑物的还原率=200×12%=24(万元),土地的年净收益=60-24=36(万元),土地的价格=36×1/6%×[1-1/(1+6%)30]=495.53(万元)。房地产价格=200+495.53=695.53(万元)。
【例题•不定项】某宗住宅用地土地使用年期70年,容积率为2.0。选择某比较案例的成交价格为1800元/平方米,土地使用年期50年,容积率1.5。与待估宗地相比,比较案例的区域因素条件优于待估宗地,修正系数为3%,个别因素条件比待估宗地差,修正系数为3%。该城市住宅地价的容积率修正系数如下表,土地还原利率为8%。则待估宗地土地价格为( )元/平方米。
| 容积率 | 1.0 | 1.5 | 2.0 | 2.5 | 3.0 | 3.5 |
修正系数 | 1.0 | 1.2 | 1.8 | 2.2 | 2.5 | 2.7 |
A.2743
B.2744
C.2746
D.2749
【答案】D
【解析】待估宗地土地价格=1800×(1.8/1.2)×(100/103)×(100/97)×[1-1/(1+8%)70]/[1-1/(1+8%)50]=2749(元/平方米)。
【例题•不定项】在采用土地租金测算土地纯收益时,需扣除的租赁费用中不包括( )。
A.管理费
B.土地税
C.维护费
D.保险费
【答案】D
【解析】土地租赁方式,土地年总费用包括土地使用税、土地管理费、土地维护费及其他税费。







![[em2_01]](https://live.cdeledu.com/web/images/emoji/01.png)
![[em2_02]](https://live.cdeledu.com/web/images/emoji/02.png)
![[em2_03]](https://live.cdeledu.com/web/images/emoji/03.png)
![[em2_04]](https://live.cdeledu.com/web/images/emoji/04.png)
![[em2_05]](https://live.cdeledu.com/web/images/emoji/05.png)
![[em2_06]](https://live.cdeledu.com/web/images/emoji/06.png)
![[em2_07]](https://live.cdeledu.com/web/images/emoji/07.png)
![[em2_08]](https://live.cdeledu.com/web/images/emoji/08.png)
![[em2_09]](https://live.cdeledu.com/web/images/emoji/09.png)
![[em2_10]](https://live.cdeledu.com/web/images/emoji/10.png)
![[em2_11]](https://live.cdeledu.com/web/images/emoji/11.png)
![[em2_12]](https://live.cdeledu.com/web/images/emoji/12.png)
![[em2_13]](https://live.cdeledu.com/web/images/emoji/13.png)
![[em2_14]](https://live.cdeledu.com/web/images/emoji/14.png)
![[em2_15]](https://live.cdeledu.com/web/images/emoji/15.png)
![[em2_16]](https://live.cdeledu.com/web/images/emoji/16.png)
![[em2_17]](https://live.cdeledu.com/web/images/emoji/17.png)
![[em2_18]](https://live.cdeledu.com/web/images/emoji/18.png)
![[em2_19]](https://live.cdeledu.com/web/images/emoji/19.png)
![[em2_20]](https://live.cdeledu.com/web/images/emoji/20.png)






扫一扫立即下载
扫码添加老师