试题一(20分)
统计数据表明,某行业内市场占有率前五名的企业为A、B、C、D、E,它们的市场占有率分别为28%、26%、22%、l0%和5%。E公司为了制定自身的发展战略,采用五因素模型对行业的竞争结构进行分析。部分因素分析如下。
1.本行业的新进入者来自国内、国外两个方面。本行业是资本和技术密集型的行业;对国外进入者,国家有一定限制以对本行业进行必要的保护。
2.本公司产品的主要原材料供应商十分集中,采购量在各供应商之间分布较均匀,主要原材料暂无替代品。
3.由于本行业中各企业提供的产品差异性越来越小,因此顾客选择机会较多。
4.由于科技进步加快,市场上已开始出现性能更高的同类产品,只是目前的价格还略高于传统产品。基于上述分析,E公司进一步运用评价矩阵对公司的内部和外部因素进行了综合评价:评价矩阵如表1:
表1 E公司内部和外部因素评价
| 关键内部因素 | 权重 | 得分 | 关键外部因素 | 权重 | 得分 | ||
| 研发能力强大 | 0.25 | 4 | 一定的政策扶持 | 0.20 | 3 | ||
| 优势 | 产品性能处于中上水平 | 0.20 | 3 | 机会 | 金融环境宽松 | 0.10 | 3 |
| 生产设备较先进 | 0.15 | 4 | 行业技术进步 | 0.15 | 2 | ||
| 资金紧张 | 0.15 | —2 | 供应商减少 | 0.10 | —3 | ||
| 管理不完善 | 0.15 | —3 | 新的替代产品出现 | 0.15 | —4 | ||
| 劣势 | 威胁 | 销售商拖延结款 | 0.15 | —3 | |||
| 销售渠道不够完善 | 0.10 | —1 | 竞争对手结盟 | 0.15 | —4 |
问题:
1.判断本行业的市场竞争格局属于何种类型,并说明理由。
2.上述四方面因素分别属于五因素模型中的哪个方面?说明每个因素对该行业竞争强度的影响是增强还是减弱。
3.根据E公司的企业内部及外部因素评价结果,画出SWOT分析图,指出该公司应选择何种战略,并说明理由。
知识点:
本题涉及教材第二章战略分析方法,《考试大纲》的要求是:了解产品生命周期及PEST分析;熟悉竞争能力分析和矩阵分析;掌握SWOT分析。
答案:
1.本市场竞争格局属于相对垄断型。因为前三名的市场占有率之和为28%+26%+22%=76%>74%,且三者的份额比率小于1.7.
点评:在教材第二章第三节竞争能力分析中指出行业的竞争结构是行业内企业的数量和规模的分布,一般可以分为完全垄断、绝对垄断、双头垄断、相对垄断和分散竞争,考生应该熟悉每一种竞争结构类型的划分标准。详见教材Pl5表2—4中。
2.因素1属于新的进入者的威胁因素,它会使行业的竞争强度削弱。因素2属于供应商讨价还价的能力因素,它会使行业的竞争强度增强。因素3属于客户讨价还价的能力因素,它会使行业的竞争增强。因素4属于替代品的威胁因素,它会使行业的竞争强度逐渐增强。
点评:波特的五因素模型如下图,对它的掌握应该会联系实际问题进行分析。详见教材P16、Pl7.

3.首先根据E公司的企业内部及外部因素评价结果计算综合得分:优劣势得分为:
4×0.25+3×0.L2+4×0.15—2×0.15—3×0.15—1×0.1:1.35
机会威胁得分为:3×0.2+3×0.1+2×0.15—3×0.1—4×0.15—3×0.15—
4×0.15=-0.75然后画出SWOT分析图
然后画出SWOT分析图,再根据评价得分标注公司所处的象限如下

从图上可以看出本公司尽管具有大的内部优势,但必须面临严峻的外部挑战。因此选择避多元化战略,以利用企业自身优势,避免或降低外部威胁的打击,分散风险,寻找新的发展机会。
点评:战略分析的方法和工具很多,第二章只介绍了一些基本的方法,咨询工程师应当对这些方法有所熟悉和了解,SWOT分析是最常用的工具之一,应该能够熟练运用SWOT分析实际问题,并给出战略建议。详见教材P25—P27.
试题二(25分)
某产品过去5年的销售额与目标市场人均收入的数据如表2,预计2006年该产品的目标市场人均收人为1 800元。
表2 1999——2003历年产品销售额与目标市场人均收入
| 年份 | 1999 | 2000 | 200l | 2002 | 2003 |
| 产品销售额(万元) | 30 | 35 | 36 | 38 | 40 |
| 人均收入(元) | 1 000 | 1 200 | 1 250 | 1 300 | 1 400 |
已知数据:1999——2003历年产品销售额的平方和为6 465;1999——2003历年人均收入的平方和为7 652 500;1999 2003历年人均收入与产品销售额乘积之和为222 400.
问题:
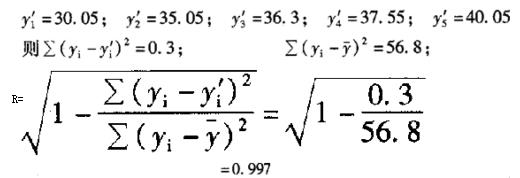
1.建立一元线性回归模型(参数计算结果小数点后保留3位)。
2.进行相关系数检验(取D=0.05,R值小数点后保留3位,相关系数临界值见附表)。
3.对2006年可能的销售额进行点预测。
知识点:
本题涉及教材第三章市场预测方法的内容,《考试大纲》的要求是:了解德尔菲法、专家会议法、类推预测法;熟悉移动平均法、指数平滑法、成长曲线模型法和季节波动分析;掌握一元线性回归、消费系数和弹性系数法。市场预测方法比较容易出案例题,应重点掌握,要注意回归的相关检验,£检验,点预测与区间预测,这是经常容易忽视的问题。本题考核的内容单一,只是计算量较大,因此平时复习时要着重大题速度的训练,亲手做几个题目。今后的方向偏向题目的综合性和实用性,此类题目估计会较少出现了。
答案:
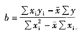
1.令y表示产品销售额,x表示穆傲彪市场人均收入。则一元线型回归模型为:
Y=a+bx如
根据已知数据:

则:

=(222400-1230 x179)/(7 652 500-1 230×6150)=0.025
![]()
则一元线性回归方程为:Y=5.05+0.025x
2.根据得到的一元线性回归方程,可得:


试题三(20分)
某车间可从A、B两种新设备中选择一种来更换现有旧设备。设备A使用寿命期为6年,值为3 500万元。设备B使用寿命期6年,设备投资l2 000万元,年经营成本前三年均为5 000万元,后三年均为6 000万元,期末净残值为4 500万元。该项目投资财务基准收益率为l5%。
问题:
1.用年费用法比较选择设备更新最优方案。
2.如果设备B使用寿命期为9年,最后三年经营成本均为7 000万元,期末净残值为2 000
万元,其他数据不变,用费用现值法比较选择最优方案(以最小寿命期作为共同研究期)。
知识点:
本题涉及教材第八章方案经济比较和优化方法的内容,《考试大纲》的要求是:了解综合评价法;熟悉价值工程法;掌握方案经济比较方法。方案经济比较的动态方法包括差额投资内部收益率法、现值比较法、年值比较法、最低价格法和效益/费用法。答题时要看清题目的要求,用要求的方法解答,否则容易丢分。
答案:
本题的解答方式较多,现举例如下:
1.ACA=[10000+5500(P/A,15%,3)+6500(p/A,15%,3)(P/F,15%,3)一3500(P/F,15%,6)]/(P/A,15%,6)=(10000+12556.5+9764.39-1512)/3.784=8141.88(万元)
ACB=[12000+5000(P/A,15%,3)+6000(P/A,15%,3)(P/F,15%,3)一4500(P/F,15%,6)=[12000+11415+9013.28-1944)=8056.10(万元)
经比较得知,B方案较优。
2.PCA=10000+5500(P/A,15%,3)+6500(P/A,15%,3)(P/F,15%,3)-3500(P/F,15%,6)=30808.89(万元)
PCB=[12000+5000(P/A,15%,3)+6000(P/A,l5%,3)(P/F,15%,3)+7000(P/A,15%,3)(P/F,15%,6)-2000(P/F,15%,9)](P/A,15%,6)(P/A,15%,9)=30738.32(万元)
方案B为最优方案。
点评:此问题中明确要求“以最小寿命期作为共同研究期”,常见错误是按最小公倍数方法来计算,这样即使算对了也会被扣分。由于计算顺序变化或中间小数点保留位数不同会带来计算结果略有不同。详见教材Pl75.
试题四(25分)
某企业目前年销售收入为3 200万元,年经营成本为2 400万元,财务效益较好。现计划从国外引进一套设备进行改扩建。该设备的离岸价格为l63万美元,海上运输及保险费为17万美元,运到中国口岸后需要缴纳的费用:(1)关税41.5万元;(2)国内运输费用l2.7万元;(3)外贸手续费(费率为3.5%);(4)增值税及其他附加税费87.5万元。通过扩大生产规模,该企业年销售收入可增加到4 500万元,年经营成本提高到3 200万元。设备投资假定发生在期初,当年即投产运营。该企业生产的产品为市场竞争类产品,国民经济评价产出物的影子价格与市场销售价格一致。在经营成本的计算中,包含国家环保部门规定的每年收取200万元的排污费。该企业污染严重,经济及环境保护专家通过分析认为,该企业排放的污染物对国民经济的实际损害应为销售收入的l0%才合理。经营成本其余部分及国内运输费用和贸易费用的国民经济评价的计算结果与财务评价相同。市场研究表明,该产品还可以在市场上销售5年,5年后停止生产。每5年末进口设备残值为50万元,并可以此价格在国内市场售出。如果决定现在实施此项目,原有生产线一部分设备可以l00万元的资产净值在市场售出。设备的国民经济评价影子价格与市场出售价格相同。本企业的财务基准收益率为l0%,社会折现率为l0%,美元兑人民币官方汇率为1:8.3,影子汇率换算系数为1.08.
问题:
1.用财务净现值法,从财务评价的角度分析此项目是否可行。
2.用经济净现值法,从国民经济评价的角度分析此项目是否可行。
知识点:
本题涉及教材第五章现金流量分析及财务分析方法、第六章国民经济评价的内容,《考试大纲》的要求分别是:熟悉资金时间价值基本概念、基本公式;掌握现金流量分析及财务分析方法。了解国民经济评价计算价格的确定方法;熟悉国民经济费用、效益的种类及识别方法;掌握国民经济效益费用流量分析方法。这两章教材尤其第五章是全书的重点之一,因此也是考试的重点。财务分析方法是对咨询工程师的最基本要求,因此必须予以高度重视。重点是要理解书中所讲的各种方法,而不是机械地去计算数据。思路、方法比具体的数字更重要。本题还涉及到教材第四章投资估算方法中的进口设备购置费的估算。
答案:
1.财务可行性评价
(1)初始投资:
设备购置费=(163+17)X 8.3 X(1+3.5%)+41.5+87.5+12.7=1 687.99(万元)
初始投资=设备买价一旧设备变现收入=1 687.99—100=1 587.99(万元)
点评:详见教材P72.
(2)分析每年营业现金流量增量:
收入增加:4 500一3 200=1 300(万元)
经营成本增加:3 200—2 400=800(万元)
则经营期每年现金流入增加:1 300—800=500(万元)
(3)考虑到第5年末残值变现收入50万元,则项目的财务净现值为
FNPV=500×(P/A,10%,5)+50×(P/F,10%,5)一1587.99=338.56(万元)
FNPV>0从财务评价角度分析此项目可行。
点评:详见教材Pl06.
2.国民经济评价
(1)初始投资:
设备买价=(163+17)x 8.3×1.08+(163+17)×8.3×3.5%+12.7
=1 678.51(万元)
净投资=设备买价一旧设备变现=1 678.51—100=1 578.51(万元)
(2)项目投资每年国民经济净效益费用流量:
收入增加:4 500—3 200=1 300(万元)
扩建前的国民经济运营费用=2 400+3 200×10%一200=2 520(万元)
扩建后的国民经济运营费用=3 200+4 500X 10%一200=3 450(万元)
国民经济运营费用增加:3 450—2 520=930(万元)
净效益费用流量增量:l 300—930=370(万元)
点评:详见教材Pl20、Pl21.
(3)考虑到第5年末残值变现收入50万元,则项目的经济净现值为
ENPV=370×(P/A,10%,5)+50×(P/F,10%,5)一1 578.51=一144.79(万元)
ENPV<0从国民经济评价角度分析此项目不可行。
点评:这是一道综合性很强的题目,要注意的问题包括:(1)对于改扩建项目的评价,都是在分析现金流量的增量基础上进行的;(2)要充分识别各个现金流量发生的时间点,等值换算后才能相加减;(3)国民经济评价时,要剔除转移支付,要同时考虑直接和间接的效益及费用。详见教材Pl28、Pl29.
试题五(20分)
某企业拟投资一个项目,估算总投资ll 913万元。预计年销售收入6 488万元,税后财务内部收益率(IRR)为11.59%。该项目存在两个主要风险变量,即产品销售价格和关键原料价格可能与预期有所不同。产品销售价格估计值为3 500元/吨,该关键原料价格估计值为400元,公斤,产品销售价格可能出现三种情况:有50%的可能为原估计值3 500元/吨,有30%的可能为3 000元/吨,有20%的可能为2 500元,吨;该关键原料的价格可能出现两种情况:有70%的可能为原估计值400元/公斤,有30%的可能为450元/公斤。各种可能出现的情况以及对应的IRR见表3.
表3产品销售价格与原材料价格不同情况下对应的IRR
| 状态 | 产品销售价格(元/吨) | 原料价格(元/公斤) | IRR(%) |
| 1 | 3 500 | 400 | 11.59 |
| 2 | 3 500 | 450 | 11.23 |
| 3 | 3 000 | 400 | 8.56 |
| 4 | 3 000 | 450 | 8.17 |
| 5 | 2 500 | 400 | 5.19 |
| 6 | 2 500 | 450 | 4.75 |
问题:
1.画出概率树。
2.运用概率树分析方法,计算IRR的期望值。
知识点:
本题涉及教材第九章风险概率分析方法的内容,《考试大纲》的基本要求是:了解蒙特卡洛法;熟悉风险概率估计方法;掌握概率树分析法。风险分析对项目决策分析非常重要,这是当前项目前期工作中的薄弱环节,新的可行性研究指南中强调要加强项目风险分析。风险概率分析是定量风险分析的主要方法,本章对蒙特卡洛模拟、风险概率估计和概率树进行了介绍,蒙特卡洛模拟需要借助计算机手段计算,只要了解原理即可,应该重点掌握概率树分析方法。
答案:
1.概率树可以有两种画法

或者:

2.首先计算各种状态发生的可能性,即联合概率:
第一种状态发生的可能性:50%×70%=35%,IRR=11.59%
第二种状态发生的可能性:50%×30%=15%,IRR=11.23%
第三种状态发生的可能性:30%×70%=21%,IRR=8.56%
第四种状态发生的可能性:30%X 30%=9%,IRR=8.17%
第五种状态发生的可能性:20%×70%=14%,IRR=5.19%
第六种状态发生的可能性:20%×30%=6%,IRR=4.75%
然后计算IRR的期望值=35%×11.59%+15%× 11.23%+21%×8.56%+9%×8.17%+14× 5.19%+6%×4.75%=9.29%
点评:风险概率分析的题目往往因计算规模大而要借助计算机运算,因此,试题中只能给出较多的条件,重点考核大家对于风险分析原理的理解,概率树分析还可以与财务分析结合在一起出题加大难度和综合性,希望注意。详见教材Pl96——P199.
试题六(20分)
某业主拟招标选择一家工程咨询公司来编制某项目的可行性研究报告,资格预审后有三家符合标准条件的工程咨询公司参加了投标。本次评标,技术标的权重为70%,商务标的权重为30%。技术标对工程咨询公司的经验、本项目拟采用的咨询方法和项目组人员构成三个分项进行评审,分项权重分别为20%、30%和50%。评标委员会由5人组成,评委们对三家咨询公司的技术标评分结果如表4所示。三家咨询公司的投标报价分别为:A公司l20万元,B公司ll5万元,C公司l25万元。
表4技术标评价打分
| 评委打分 | ||||
| 评委 | 评价内容 | A公司 | B公司 | C公司 |
| 公司经验 | 80 | 70 | 90 | |
| 田 | 咨询方法 | 90 | 85 | 70 |
| 人员构成 | 60 | 80 | 70 | |
| 公司经验 | 80 | 70 | 80 | |
| 乙 | 咨询方法 | 90 | 70 | 60 |
| 人员构成 | 80 | 80 | 80 | |
| 公司经验 | 75 | 60 | 90 | |
| 丙 | 咨询方法 | 60 | 75 | 80 |
| 人员构成 | 80 | 70 | 90 | |
| 公司经验 | 75 | 80 | 70 | |
| 丁 | 咨询方法 | 80 | 80 | 90 |
| 人员构成 | 70 | 60 | 80 | |
| 公司经验 | 80 | 70 | 90 | |
| 戊 | 咨询方法 | 70 | 90 | 80 |
| 人员构成 | 80 | 70 | 90 | |
问题:
1.咨询服务招标的评标方法有哪些种类?各自的适用范围是什么?本次采用的评标方法属于何种类型?
2.计算评标结果,并选出中标的工程咨询公司(商务标的评分,以最低报价为100分,其他报价得分按其报价成反比递减)。
知识点:
本题涉及教材第十章招标投标咨询方法的内容,《考试大纲》的要求是:了解机电设备招投标评标方法;熟悉施工招标投标评标方法;掌握咨询服务投标评标方法。本章的重点是咨询服务招标的评标方法和工程施工招标的评标方法,要求既要掌握定量的评标方法,又要熟悉评标原则、内容和程序。
答案:
1.咨询服务招标的评标方法有四种:(1)基于质量和费用的评标方法;(2)基于质量的评标方法;(3)最低费用选择方法;(4)基于咨询单位资历的选择方法。
上述评标方法各自适用范围如下。
(1)基于质量和费用的评标方法,在咨询服务招标实践中最为常用,适用于需要同时权衡质量和费用来选择中标单位的咨询服务。
(2)基于质量的评标方法,适用于:①复杂的或专业性很强的任务;②对后续工作影响大,要请最好的专家来完成的任务;③可用不同方法执行、费用不可比的任务。
(3)最低费用选择方法,适用于具有标准或常规性质、一般有公认的惯例和标准、合同金额也不大的咨询任务。
(4)基于咨询单位资历的选择方法,适用于很小的任务。本次采用的评标方法是:基于质量和费用的评标方法。
点评:见教材P212.
2.基于质量和费用的评标方法首先计算技术分,然后计算财务得分。
(1)技术标评审:
A公司得分:[80+80+75+80/5]×20%+[90+90+60+80+70/5]×30%+
[60+80+80+70+80/5]×50%=76
B公司得分:[70+70+60+80+70/5]×20%+[85+70+75+80+90/5]×30%+
[80+80+70+60+70/5]×50%=74
C公司得分:[90+80+90+70+90/5]×20%+[70+60+80+90+80/5]×30%+
[70+80+90+80+90/5]×50%=80.6
(2)商务标评审:A、B、C三家咨询公司的投标报价中,B公司最低,计为100分;A公司商务标按“反比例递减法”得分:(115÷120)×100=95.83;C公司商务标按“反比例递减法”得分:(115÷125)×100=92.00
(3)综合得分:
| 投标人 | 权重(%) | A公司 | B公司 | C公司 |
| 技术标 | 70 | 76 | 74 | 80.60 |
| 商务标 | 30 | 95.83 | 100 | 92.00 |
| 平均得分 | 100 | 81.95 | 81.80 | 84.02 |
所以根据上述分析结果,应选择C公司。
点评:咨询服务招标的评标方法多采用“双信封制”,即咨询公司投标时,将“技术建议书”和“财务建议书”分别包装密封。评审时,先打开技术建议书进行评价,按评价结果排出咨询公司的名次,排除技术不合格的投标人,然后打开财务建议书进行评价,计算综合得分。并据此选择中标人进行谈判。详见教材P216、P217.答此题目常出的问题是考生生搬硬套教材中的例题的解题格式,先将技术标评价打分表抄下来,再在表中分别计算每个公司的技术评审得分,因而耽误了许多答题的时间。
附表一相关系数I描界值







![[em2_01]](https://live.cdeledu.com/web/images/emoji/01.png)
![[em2_02]](https://live.cdeledu.com/web/images/emoji/02.png)
![[em2_03]](https://live.cdeledu.com/web/images/emoji/03.png)
![[em2_04]](https://live.cdeledu.com/web/images/emoji/04.png)
![[em2_05]](https://live.cdeledu.com/web/images/emoji/05.png)
![[em2_06]](https://live.cdeledu.com/web/images/emoji/06.png)
![[em2_07]](https://live.cdeledu.com/web/images/emoji/07.png)
![[em2_08]](https://live.cdeledu.com/web/images/emoji/08.png)
![[em2_09]](https://live.cdeledu.com/web/images/emoji/09.png)
![[em2_10]](https://live.cdeledu.com/web/images/emoji/10.png)
![[em2_11]](https://live.cdeledu.com/web/images/emoji/11.png)
![[em2_12]](https://live.cdeledu.com/web/images/emoji/12.png)
![[em2_13]](https://live.cdeledu.com/web/images/emoji/13.png)
![[em2_14]](https://live.cdeledu.com/web/images/emoji/14.png)
![[em2_15]](https://live.cdeledu.com/web/images/emoji/15.png)
![[em2_16]](https://live.cdeledu.com/web/images/emoji/16.png)
![[em2_17]](https://live.cdeledu.com/web/images/emoji/17.png)
![[em2_18]](https://live.cdeledu.com/web/images/emoji/18.png)
![[em2_19]](https://live.cdeledu.com/web/images/emoji/19.png)
![[em2_20]](https://live.cdeledu.com/web/images/emoji/20.png)






扫一扫立即下载
扫码添加老师