2019年一级建造师考试已经进入了冲刺阶段,在当前阶段,考生们应该已经学习过了一遍教材,对教材中的考点知识点有了一个基础的了解。现在考生们需要的是对重要考点知识点的归纳和总结。
建设工程教育网为2019年一级建造师考生们整理汇总了2019年一级建造师考试重要章节的精华考点知识点,以下内容均为重点,快拿小本本记下来!
考点7:设备租金计算
【考频指数】★★★★
【考点精粹】
租赁费用主要包括:租赁保证金、租金、担保费。
(1)租金的计算
①附加率法
附加率法是在租赁资产的设备货价或概算成本上再加上一个特定的比率来计算租金。
每期租金R表达式为:
P—— 租赁资产的价格;
N——租赁期数,可按月、季、半年、年计;
i——与租赁期数相对应的利率;
r——附加率。
②年金法
年金法是将一项租赁资产价值按动态等额分摊到未来各租赁期间内的租金计算方法。年金法计算有期末支付和期初支付租金之分。
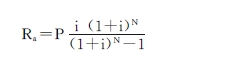
期末支付方式支付租金Ra的表达式:
Ra——每期期末支付的租金额;
P——租赁资产的价格;
N——租赁期数,可按月、季、半年、年计;
i——与租赁期数相应的利率或折现率。
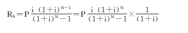
期初支付方式支付租金Rb的表达式:
期初支付公式其实质就是本应该在期末支付的租金,需要在期初支付,两个租金在期初和期末的等值计算。记住期末支付的租金计算方式,然后将这个年末租金(终值)按租赁期的利率折算到年初租金(现值)。
2019年一级建造师进入冲刺阶段,网校总结多年成功辅导经验,从学员实际需求出发,结合一级建造师考试命题规律、重点、难点,融入先进的教学理念,推出全新个性化班次,学习刻不容缓!加入我们,为你的一建考试保驾护航。立即查看>>








![[em2_01]](https://live.cdeledu.com/web/images/emoji/01.png)
![[em2_02]](https://live.cdeledu.com/web/images/emoji/02.png)
![[em2_03]](https://live.cdeledu.com/web/images/emoji/03.png)
![[em2_04]](https://live.cdeledu.com/web/images/emoji/04.png)
![[em2_05]](https://live.cdeledu.com/web/images/emoji/05.png)
![[em2_06]](https://live.cdeledu.com/web/images/emoji/06.png)
![[em2_07]](https://live.cdeledu.com/web/images/emoji/07.png)
![[em2_08]](https://live.cdeledu.com/web/images/emoji/08.png)
![[em2_09]](https://live.cdeledu.com/web/images/emoji/09.png)
![[em2_10]](https://live.cdeledu.com/web/images/emoji/10.png)
![[em2_11]](https://live.cdeledu.com/web/images/emoji/11.png)
![[em2_12]](https://live.cdeledu.com/web/images/emoji/12.png)
![[em2_13]](https://live.cdeledu.com/web/images/emoji/13.png)
![[em2_14]](https://live.cdeledu.com/web/images/emoji/14.png)
![[em2_15]](https://live.cdeledu.com/web/images/emoji/15.png)
![[em2_16]](https://live.cdeledu.com/web/images/emoji/16.png)
![[em2_17]](https://live.cdeledu.com/web/images/emoji/17.png)
![[em2_18]](https://live.cdeledu.com/web/images/emoji/18.png)
![[em2_19]](https://live.cdeledu.com/web/images/emoji/19.png)
![[em2_20]](https://live.cdeledu.com/web/images/emoji/20.png)






扫一扫立即下载
扫码添加老师