建设工程教育网2017年一级建造师考试辅导移动班课程已开通!为更好地帮助考生充分利用零散时间备考,网校重磅推出“移动班”。移动班不同于网络课程随课赠送的建筑移动课堂,只是支持以手机/平板电脑为载体学习网络课程。2017年一级建造师移动班,完全基于移动产品特点及用户需求而设计。课程以知识点为单元,每10分钟一个讲座,化繁为简、节约时间。网校老师倾情打造,授课幽默风趣,妙语连珠,让考生在愉悦的环境下轻松学习,强化记忆,达到事半功倍的学习效果!点击购买>>
知识点:名义利率和有效利率的计算
当计息周期小于一年时,就出现了名义利率和有效利率的概念。

一、名义利率的计算
概念:计息周期利率i乘以一年内的计息周期数m所得的年利率,即
![]()
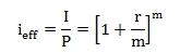
二、有效利率的计算
1.计息周期有效利率的计算
![]()
2.年有效利率的计算
![]()
★每年计息周期越多,年有效利率和名义利率相差就越大。
★在工程经济分析中,如果各技术方案的计息期不同,就不能使用名义利率来评价,而必须换算成有效利率进行评价,否则会得出不正确的结论。
- · 一级建造师考试难、案例题难懂?找到方法你就成功一半!
- · 一级建造师邵宏《市政公用工程》移动精讲班2018年免费试听
- · 一级建造师安慧《公路工程》移动精讲班2018年免费试听
- · 一级建造师林轩《建筑工程》移动精讲班2018年免费试听
- · 一级建造师魏东《水利水电工程》移动精讲班2018年免费试听
- · 一级建造师李娜《项目管理》移动精讲班2018年免费试听
- · 一级建造师武劲松《法规》移动精讲班2018年免费试听
- · 一级建造师免费视频——2018年移动精讲班免费试听(各科目)
- · 一级建造师达江《工程经济》移动精讲班2018年免费试听
- · 10项新技术之基于智能化的装配式建筑产品生产与施工管理信息技术





![[em2_01]](https://live.cdeledu.com/web/images/emoji/01.png)
![[em2_02]](https://live.cdeledu.com/web/images/emoji/02.png)
![[em2_03]](https://live.cdeledu.com/web/images/emoji/03.png)
![[em2_04]](https://live.cdeledu.com/web/images/emoji/04.png)
![[em2_05]](https://live.cdeledu.com/web/images/emoji/05.png)
![[em2_06]](https://live.cdeledu.com/web/images/emoji/06.png)
![[em2_07]](https://live.cdeledu.com/web/images/emoji/07.png)
![[em2_08]](https://live.cdeledu.com/web/images/emoji/08.png)
![[em2_09]](https://live.cdeledu.com/web/images/emoji/09.png)
![[em2_10]](https://live.cdeledu.com/web/images/emoji/10.png)
![[em2_11]](https://live.cdeledu.com/web/images/emoji/11.png)
![[em2_12]](https://live.cdeledu.com/web/images/emoji/12.png)
![[em2_13]](https://live.cdeledu.com/web/images/emoji/13.png)
![[em2_14]](https://live.cdeledu.com/web/images/emoji/14.png)
![[em2_15]](https://live.cdeledu.com/web/images/emoji/15.png)
![[em2_16]](https://live.cdeledu.com/web/images/emoji/16.png)
![[em2_17]](https://live.cdeledu.com/web/images/emoji/17.png)
![[em2_18]](https://live.cdeledu.com/web/images/emoji/18.png)
![[em2_19]](https://live.cdeledu.com/web/images/emoji/19.png)
![[em2_20]](https://live.cdeledu.com/web/images/emoji/20.png)






扫一扫立即下载
扫码添加老师