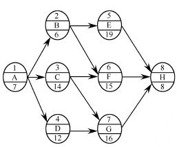
某工程单代号网络计划如下图所示(时间单位:天),下列说法错误的是( )。

A、工作E是非关键工作
B、工作B的自由时差为0
C、工作D的总时差为2天
D、工作F的最迟开始时间为21天
建设工程教育网原创·转载请注明出处
学员讨论(0)
相关资讯
- · 2021年一级建造师各科考试题型/题量/分值占比
- · 2019年一级建造师考试知识点测评(2018.12.14)
- · 2019年一级建造师考试知识点测评(2018.11.26)
- · 2018年一级建造师《水利》补考考前冲刺练习11.21
- · 2019年一级建造师考试知识点测评(2018.11.14)
- · 2019年一级建造师考试知识点测评(2018.11.08)
- · 2019年一级建造师考试知识点测评(2018.11.07)
- · 一级建造师项目管理每日一练:项目管理规划的内容(2018.11.5)
- · 2019年一级建造师考试知识点评测(2018.10.29)
- · 一级建造师每日一练在线测试(2018.10.21)





![[em2_01]](https://live.cdeledu.com/web/images/emoji/01.png)
![[em2_02]](https://live.cdeledu.com/web/images/emoji/02.png)
![[em2_03]](https://live.cdeledu.com/web/images/emoji/03.png)
![[em2_04]](https://live.cdeledu.com/web/images/emoji/04.png)
![[em2_05]](https://live.cdeledu.com/web/images/emoji/05.png)
![[em2_06]](https://live.cdeledu.com/web/images/emoji/06.png)
![[em2_07]](https://live.cdeledu.com/web/images/emoji/07.png)
![[em2_08]](https://live.cdeledu.com/web/images/emoji/08.png)
![[em2_09]](https://live.cdeledu.com/web/images/emoji/09.png)
![[em2_10]](https://live.cdeledu.com/web/images/emoji/10.png)
![[em2_11]](https://live.cdeledu.com/web/images/emoji/11.png)
![[em2_12]](https://live.cdeledu.com/web/images/emoji/12.png)
![[em2_13]](https://live.cdeledu.com/web/images/emoji/13.png)
![[em2_14]](https://live.cdeledu.com/web/images/emoji/14.png)
![[em2_15]](https://live.cdeledu.com/web/images/emoji/15.png)
![[em2_16]](https://live.cdeledu.com/web/images/emoji/16.png)
![[em2_17]](https://live.cdeledu.com/web/images/emoji/17.png)
![[em2_18]](https://live.cdeledu.com/web/images/emoji/18.png)
![[em2_19]](https://live.cdeledu.com/web/images/emoji/19.png)
![[em2_20]](https://live.cdeledu.com/web/images/emoji/20.png)






扫一扫立即下载
扫码添加老师