2018年一级建造师《工程经济》计算题考点(三十一),离一级建造师考试还有2天的时间,在这一段时间里,建设工程教育网为大家整理了2018年一级建造师《工程经济》计算题考点(三十一),希望对各位考生有所帮助。
考点三十一:物价变化导致综合单价调整
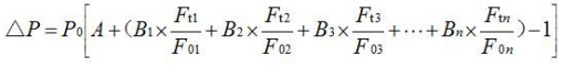
当没有约定,且材料、工程设备单价变化超过 5%时,超过部分的价格应按照价格指数调整法或造价信息差额调整法计算调整材料、工程设备费。

1.某工程合同价为 300万元,本期完成合同价款 100万元,合同约定:采用调值公式进行动态结算,其中固定要素比重为 0.2,调价要素分为 A、B、C三类,分别占合同价的比重为 0.15、0.35、0.3,结算时价格指数分别增长了 20%、15%、25%,则该工程需要调整的价款差额为()万元。
A.115.75
B.19.75
C.15.75
D.120.75
【答案】C
2.某工程约定当价格波动超过一定范围时根据价格调整公式调整合同价格。已知不调部分占合同总价的 20%,可调部分有人工费、运输费、钢筋价格、混凝土价格,其占可调部分的比例分别为 40%、10%、20%、30%。基准日期的价格指数均为 100,结算时采用的价格指数分别为 110、105、106、108。若结算当月完成的合同金额 1000 万,则调整后的合同金额为()万元。
A.1064.8
B.1148.6
C. 1281.0
D.1384.2
【答案】A
【解析】1000×[0.2+0.4×0.8×1.1+0.1×0.8×1.05+0.2×0.8×1.06+0.3×0.8×1.08]=1064.8
以上就是关于2018年一级建造师《工程经济》计算题考点(三十一),希望这些考点,能帮助到考生们,如果想了解关于一级建造师的信息,请关注建设工程教育风一级建造师栏目。
相关推荐:
- · 江苏关于2025年度一级建造师职业资格考试考务工作的通知
- · 江苏关于2024年度一级建造师资格考试考务工作有关事项的通知
- · 青海关于2024年度一级建造师职业资格考试报名安排的通知
- · 【7月6日】关于2023年度贵州一级建造师考试报名等相关工作的通知
- · 【7月2日】关于做好2023年度一建考试江西考区考务工作的通知
- · 【7月3日】2023年度广东一级建造师资格考试报考须知
- · 【6月27日】关于做好兵团2023年度一级建造师资格考试考务工作的通知
- · 【6月30日】关于2023年度重庆一级建造师资格考试报名工作的通告
- · 【6月27】关于做好甘肃省2023年度一建考试报名工作的通知
- · 【6月30报名】关于做好2023年度河南一建考试考务工作的通知





![[em2_01]](https://live.cdeledu.com/web/images/emoji/01.png)
![[em2_02]](https://live.cdeledu.com/web/images/emoji/02.png)
![[em2_03]](https://live.cdeledu.com/web/images/emoji/03.png)
![[em2_04]](https://live.cdeledu.com/web/images/emoji/04.png)
![[em2_05]](https://live.cdeledu.com/web/images/emoji/05.png)
![[em2_06]](https://live.cdeledu.com/web/images/emoji/06.png)
![[em2_07]](https://live.cdeledu.com/web/images/emoji/07.png)
![[em2_08]](https://live.cdeledu.com/web/images/emoji/08.png)
![[em2_09]](https://live.cdeledu.com/web/images/emoji/09.png)
![[em2_10]](https://live.cdeledu.com/web/images/emoji/10.png)
![[em2_11]](https://live.cdeledu.com/web/images/emoji/11.png)
![[em2_12]](https://live.cdeledu.com/web/images/emoji/12.png)
![[em2_13]](https://live.cdeledu.com/web/images/emoji/13.png)
![[em2_14]](https://live.cdeledu.com/web/images/emoji/14.png)
![[em2_15]](https://live.cdeledu.com/web/images/emoji/15.png)
![[em2_16]](https://live.cdeledu.com/web/images/emoji/16.png)
![[em2_17]](https://live.cdeledu.com/web/images/emoji/17.png)
![[em2_18]](https://live.cdeledu.com/web/images/emoji/18.png)
![[em2_19]](https://live.cdeledu.com/web/images/emoji/19.png)
![[em2_20]](https://live.cdeledu.com/web/images/emoji/20.png)






扫一扫立即下载
扫码添加老师