一、设备租赁的概念(考点)
1.融资租赁
◆金融租赁:双方不得任意中止或取消租约;多用于价格昂贵、技术更新较快的设备。
2.经营租赁
◇经营租赁(承租人)的优点与缺点
二、影响租赁与购买方案的主要因素(考点)
1.影响设备投资的因素
◇共性因素:技术方案的寿命期,技术性能等9个。
2.影响设备租赁的因素
◇基于使用权:租赁期长短,租金额等8个。
3.影响设备购买的因素
◆依托所有权:购置价格,保险费等3个。
三、设备方案的比选(考点)
(一)比选的步骤
(二)设备方案的经济比选方法
1.经营租赁的现金流量
◆租赁费用的组成(计入成本):租赁保证金;租金;担保费。
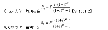
(1)附加率法(租金计算)

(2)租金计算的年金法(P→A)

2.设备购买方案的现金流量
◇现金流量表(表1054-2)
3.两者的经济比选
◆增量原则:差异部分(租赁PK购置)
◇寿命期相同(净现值)与不同(净年值)+收益较大!
- · 2024年一级建造师《建设工程经济》考试大纲
- · 2024年一级建造师《建设工程经济》考试大纲
- · 一建工程经济基础强练-设备方案的比选
- · 一建工程经济基础强练-设备租赁与购置方案的比选方法
- · 道道精选!一建工程经济精选典型例题100道 速来抢分!
- · 某项目施工所需机械有两种方案满足要求。方案一为购置方案,购置费用120万元,单位产量可变费用为500元;方案二为租赁方案,单位产量可变费用为800元。关于机械方案选择的说法,正确的是( )。
- · 2020一建经济试题答案(单选题11-15题)
- · 影响设备投资的因素,主要有( )。
- · 一建工程经济知识点:设备方案的比选(视频+5道习题)
- · 2021一建工程经济:设备方案的比选











扫一扫立即下载
扫码添加老师