2020年二级建造师报名在即,考生们都在积极备考,但有许多考生可能在这个阶段会不知从何下手来进行学习,小编为大家整理了二级建造师《建设工程施工管理》的一些知识点与考点,希望对考生们有所帮助。
考点:单代号网络计划
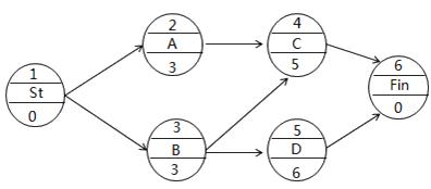
【例题】单代号网络计划如下图所示(时间单位:天),工作C的最迟开始时间是( )。

A.0
B.1
C.3
D.4
『正确答案』D
『答案解析』本题考查的是单代号网络计划。
(1)根据单代号网络图,确定每一项工作的紧后工作。见下表。

(2)根据上表的逻辑关系,绘制双代号网络图,见下图。

由上图可见,C工作的最迟开始时间为第4天。故选答案D。
推荐:
2020二级建造师精华考点&思维脑图免费领:
2020年二级建造师习题强化班开通:
学员讨论(0)
相关资讯
- · 广东省2026年度二级建造师执业资格考试报考须知
- · 山西省2026年度二级建造师执业资格考试考务工作的通知
- · 甘肃省二级建造师职业资格考试报名常见问题解答
- · 关于2026年度云南省二级建造师执业资格计算机化考试有关工作的通知
- · 2026年度青海省二级建造师资格考试报名安排的通知
- · 关于做好上海市2026年度二级建造师执业资格考试工作的通知
- · 关于做好2026年度山东省二级建造师执业资格考试有关工作的通知
- · 四川发布关于做好2026年度二级建造师执业资格考试考务工作的通知
- · 关于做好2026年度广西二级建造师执业资格考试考务工作的通知
- · 吉林发布关于2026年度二级建造师执业资格考试考务工作的通知







![[em2_01]](https://live.cdeledu.com/web/images/emoji/01.png)
![[em2_02]](https://live.cdeledu.com/web/images/emoji/02.png)
![[em2_03]](https://live.cdeledu.com/web/images/emoji/03.png)
![[em2_04]](https://live.cdeledu.com/web/images/emoji/04.png)
![[em2_05]](https://live.cdeledu.com/web/images/emoji/05.png)
![[em2_06]](https://live.cdeledu.com/web/images/emoji/06.png)
![[em2_07]](https://live.cdeledu.com/web/images/emoji/07.png)
![[em2_08]](https://live.cdeledu.com/web/images/emoji/08.png)
![[em2_09]](https://live.cdeledu.com/web/images/emoji/09.png)
![[em2_10]](https://live.cdeledu.com/web/images/emoji/10.png)
![[em2_11]](https://live.cdeledu.com/web/images/emoji/11.png)
![[em2_12]](https://live.cdeledu.com/web/images/emoji/12.png)
![[em2_13]](https://live.cdeledu.com/web/images/emoji/13.png)
![[em2_14]](https://live.cdeledu.com/web/images/emoji/14.png)
![[em2_15]](https://live.cdeledu.com/web/images/emoji/15.png)
![[em2_16]](https://live.cdeledu.com/web/images/emoji/16.png)
![[em2_17]](https://live.cdeledu.com/web/images/emoji/17.png)
![[em2_18]](https://live.cdeledu.com/web/images/emoji/18.png)
![[em2_19]](https://live.cdeledu.com/web/images/emoji/19.png)
![[em2_20]](https://live.cdeledu.com/web/images/emoji/20.png)






扫一扫立即下载
扫码添加老师