2013年二级建造师考试《施工管理》试题选择题第38题
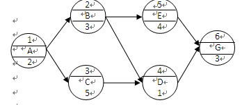
某工程的单代号网络计划如下图所示(时间单位:天),该计划的计算工期为( )天。

A.9
B.11
C.12
D.15
【答案】:C
【建设工程教育网老师权威解析】:本题考查的是工程网络计划的类型和应用。找所有线路中工期最长的一条,即A→B→E→G,工期是12天。参见教材P126。
答案及解析由网校老师整理而成,据学员反映部分网站未经许可擅自转载,且出现内容错误,请大家以本网为准。
推荐:
·2014年二建教材即将改版,获取一手老师解读信息,关注官方微信!

责任编辑:tracy
学员讨论(0)
相关资讯
- · 根据《建设工程施工劳务分包合同(示范文本)》(GF-2003-2014),应由劳务分包人完成的工作是( )
- · 设备安装精度的控制-二建机电实务考点
- · 《城市供热管网工程施工及验收规范》(CJJ28-2014)中规定的热力管道施焊单位应具备的条件包括( )。
- · 关于做好湖南省2020年度二级建造师执业资格考试考务工作的通知
- · 根据《建设工程施工劳务分包合同(示范文本)》(GF-2003-2014),应由劳务分包人完成的工作是( )。
- · 对工程项目施工质量安全负全责的是( )。
- · 根据建筑工程质量终身责任制要求,施工单位项目经理对建设工程质量承担责任的时间期限是( )。
- · 2020二建《工程法规》答疑精华:建筑工程一切险
- · 2020二建《施工管理》答疑精华:建筑材料采购合同
- · 2019年二级建造师试题及答案解析-《水利实务》11-15题





![[em2_01]](https://live.cdeledu.com/web/images/emoji/01.png)
![[em2_02]](https://live.cdeledu.com/web/images/emoji/02.png)
![[em2_03]](https://live.cdeledu.com/web/images/emoji/03.png)
![[em2_04]](https://live.cdeledu.com/web/images/emoji/04.png)
![[em2_05]](https://live.cdeledu.com/web/images/emoji/05.png)
![[em2_06]](https://live.cdeledu.com/web/images/emoji/06.png)
![[em2_07]](https://live.cdeledu.com/web/images/emoji/07.png)
![[em2_08]](https://live.cdeledu.com/web/images/emoji/08.png)
![[em2_09]](https://live.cdeledu.com/web/images/emoji/09.png)
![[em2_10]](https://live.cdeledu.com/web/images/emoji/10.png)
![[em2_11]](https://live.cdeledu.com/web/images/emoji/11.png)
![[em2_12]](https://live.cdeledu.com/web/images/emoji/12.png)
![[em2_13]](https://live.cdeledu.com/web/images/emoji/13.png)
![[em2_14]](https://live.cdeledu.com/web/images/emoji/14.png)
![[em2_15]](https://live.cdeledu.com/web/images/emoji/15.png)
![[em2_16]](https://live.cdeledu.com/web/images/emoji/16.png)
![[em2_17]](https://live.cdeledu.com/web/images/emoji/17.png)
![[em2_18]](https://live.cdeledu.com/web/images/emoji/18.png)
![[em2_19]](https://live.cdeledu.com/web/images/emoji/19.png)
![[em2_20]](https://live.cdeledu.com/web/images/emoji/20.png)






扫一扫立即下载
扫码添加老师