考试样题
各科目的题型、题量及分值:
“房地产基本制度与政策(含房地产估价相关知识)”的题型题量为:单项选择题(共40题,20分)、多项选择题(共15题,30分)、判断题(共40题,20分)、综合分析题(共15题,30分)。
“房地产开发经营与管理”、“房地产估价理论与方法”的题型题量为:单项选择题(共35题,35分)、多项选择题(共15题,30分)、判断题(共15题,15分)、计算题(共2-3题,20分)。
“房地产估价案例与分析”的题型题量为:单项选择题、问答题(共3题,30分)、指错题(共1题,40分)、改错题(共1题,10分)。
各科目相同的题型分值有所不同。
单项选择题(每题X分。每题的备选答案中只有1个最符合题意,请在答题卡上涂黑其相应的编号)
某房地产估价机构于2005年6月10日至16日评估了一宗房地产于2005年6月12日的市场价值,后对其估价结果产生了异议。现在要求你重新估价以证明该房地产估价机构的估价结果是否客观合理,此时你认为估价时点应为( )。
A.现在
B.委托人指定的日期
C.2005年6月12日
D.重新估价的作业日期中的某日
参考答案:C
多项选择题(每题2分。每题的备选答案中有2个或2个以上符合题意。请在答题卡上涂黑其相应的编号。全部选对的,得2分;错选或多选的,不得分;少选且选择正确的。每个选项得0.5分)
估价人员的估价水平主要取决于其( )。
A.相关理论水平
B.相关实践经验
C.相关职业道德修养
D.人际关系好坏
E.学历高低
参考答案:A.B
判断题(每题X分。请根据判断结果,在答题卡上涂黑其相应的符号,用“√”表示正确。用“×”表示错误。不答不得分,判断错误扣X分。本题总分最多扣至0分)
某估价报告中注明“估价报告使用期限自2007年3月1日起半年”。如果估价报告使用者在该期限内使用了该估价报告,则出具该估价报告的估价机构和估价师在2007年9月1日以后也要对该估价报告承担相关法律责任。如果估价报告使用者在2007年9月1日之前未使用该估价报告而是以后使用的,则出具该估价报告的估价机构和估价师不应承担相关法律责任。
参考答案:√
综合分析题(每小题2分。每小题的备选答案中有1个或1个以上符合题意。请在答题卡上涂黑其相应的编号。全部选对的。得2分;错选或多选的。不得分;少选且选择正确的。每个选项得0.5分)
某市w房地产开发公司(以下简称W公司)拟建一经济适用住房小区,需向该市H乡征用40公顷基本农田以外的耕地。W公司在小区建设过程中,经过市场调研,决定调整最初确定的开发方案,在部分住宅用地上建造一大型商场;委托某房地产经纪机构代理销售经济适用住房,并向G购房户提供住房公积金贷款服务。W公司开发大型商场时,以商场在建工程抵押贷款方式弥补工程建设资金不足;在商场投入使用时,W公司将商场底层出租给F公司,租期5年。商场开业一年,W公司由于偿还贷款,将商场整体出售给S公司。
1.W公司合法占用该小区土地的途径是( )。
A.向规划管理部门申办建设用地规划许可证和建设工程规划许可证后,再经项目所在地市人民政府办理农用地转用及征地审批手续,交纳相关费用后,向土地管理部门办理土地使用权划拨手续
B.向规划管理部门申办建设用地规划许可证和建设工程规划许可证后,办理农用地转用审批手续,并向项目所在地省人民政府办理征地审批手续,交纳相关费用后,向土地管理部门办理土地使用权出让手续
C.向规划管理部门申办建设用地规划许可证和建设工程规划许可证后,办理农用地转用审批手续,并经国务院办理征地审批手续,交纳相关费用后,向土地管理部门办理土地使用权出让手续
D.规划管理部门批准建设用地规划申请后,经国务院批准办理农用地转用手续,交纳相关费用后,向土地管理部门办理土地使用权划拨手续
2.W公司要按照调整后的方案进行开发,应办理的手续包括( )。
A.向土地管理部门提出改变土地使用性质的申请
B.向规划管理部门提出改变土地使用性质的申请
C.签订土地使用权转让合同
D.报原批准用地的人民政府批准
3.房地产经纪机构要合法预售住宅,应出示( )。
A.W公司与预房人签订的预售合同
B.集体土地所有证和国有土地使用证
C.商品房预售许可证及w公司出具的商品房销售委托书
D.商品房预售许可证、房屋所有权证及W公司出具的销售代理委托合同、商品房预售合同
4.G购房户向银行申请办理住房公积金贷款时,除提交申请书、身份证外,还应提交( )。
A.房屋所有权证、购房合同、抵押合同
B.土地使用权证明、购房合同、抵押合同
C.销售代理合同、购房合同、抵押合同
D.住房公积金管理机构批文
5.W公司的租赁行为要合法,应办理( )。
A.贷款银行出具同意出租的证明
B.W公司与F公司签订租赁合同
C.到房地产管理部门登记备案、领取房屋租赁证
D.办理商场营业执照
6.W公司办理商场转让手续时,应向主管部门提交( )。
A.当地房地产管理部门核发的房屋买卖审批书
B.W公司与S公司签订的房地产转让合同
C.房屋所有权证和土地使用证
D.贷款银行、F公司同意转让的证明
参考答案:
1.D; 2.ABD; 3.C; 4.BD; 5.ABC; 6.BCD.
计算题(要求列出算式、计算过程;需按公式计算的。要写出公式;只有计算结果而无计算过程的,不得分。计算结果保留小数点后2位。请在答题纸上作答)
某宗房地产建成于2002年10月,此后收益期限为48年;2003年10月至2006年10月分别获得净收益83万元、85万元、90万元、94万元;预计2007年10月至2009年10月可分别获得净收益94万元、93万元、96万元,从2010年10月起每年可获得的净收益将稳定在95万元;该类房地产的报酬率为9%。试利用上述资料测算该宗房地产2006年10月的收益价格。

问答题(请将答案写在答题纸对应的题号下)
张某看中了一处房地产。该房地产位于城市边缘,紧靠一条新兴商业街。虽然是城市边缘,属于城市四级地段,但该区域极具发展潜力,商业用地的基准地价为每平方米建筑面积800元。该房地产的建筑物共三层,总建筑面积700㎡.张某拟购入后将一层开设商铺,二、三层用于居住。原业主开出的售价为总价140万元。张某为摸清该售价的合理性,找估价师进行估价咨询。请问估价师接受委托后,在估价前需要了解估价对象的哪些情况?
参考答案要点:
1、土地产权状况;
2、房屋产权状况;
3、该房地产是否符合规划要求;
4、土地使用基本状况;
5、建筑物基本状况。
指错题(下列估价报告存在多处错误。请指明其中的13处。每指明1处错误得3分。本题全对得40分。请在答题纸上作答。每个错误对应一个序号。未将错误内容写在序号后面空格处的。不计分)
房地产估价报告
(封面及目录略)
致估价委托人函(略)
注册房地产估价师声明(略)
估价的假设和限制条件(略)
××酒店房地产估价结果报告
一、委托人
××酒店有限公司,法定代表人:××,住所:××市××路××号。
二、估价机构
××房地产估价事务所,法定代表人:××,住所:××市××路××号,房地产估价机构资质等级:壹级。
三、估价对象
1、地理位置及概况(略)
2、估价对象概况
估价对象:酒店第1、2、10~13、20层建筑面积:11275㎡
土地使用权年限:40年(1988年8月20日起至2028年8月19日止)竣工日期:1991年8月
估价对象用途:酒店客房、餐饮、娱乐建筑结构:框架
土地使用权来源:协议出让建筑装修情况:(略)
四、估价目的
为银行抵押贷款提供依据。
五、估价时点
1999年8月20日。
六、估价依据(略)
七、估价原则(略)
八、估价方法
将估价对象分为三部分进行估价,与第1、2层同类的房地产在当地的交易实例较多,故采用市场比较法进行估价;第10~13层为客房,属于收益性房地产,故采用收益法进行估价;第20层为娱乐用房,亦属于收益性房地产,故也采用收益法进行估价。
九、估价结果
估价对象的总价值为人民币208521050元(大写人民币贰亿零捌佰伍拾贰万壹仟零伍拾元整)。
十、估价人员(略)
十一、估价报告使用期限(略)
××酒店房地产估价技术报告
一、个别因素分析(略)
二、区域因素分析(略)
三、市场背景分析(略)
四、最高最佳使用分析(略)
五、估价方法选用
将估价对象分为三部分进行估价,与第1、2层同类的房地产在当地的交易实例较多,故采用市场比较法进行估价;第10~13层为客房,属于收益性房地产,故采用收益法进行估价;第20层为娱乐用房,亦属于收益性房地产,故也采用收益法进行估价。
六、估价测算过程
(一)酒店第一、二层估价
酒店第一层为酒店大堂,第二层出租给某公司经营酒楼。第一、二层建筑面积均为2830㎡.在当地房地产市场上此类房地产的交易实例较多,故采用市场比较法进行估价。
可比实例一,国际中心商场1999年8月的市场售价为:一层45000元/㎡,二层30000元/㎡.
可比实例二,华强商厦1999年8月的市场售价为:一层39000元/㎡,二层25000元/㎡.
可比实例三,世纪广场商场1999年8月的市场售价为:一层38000元/㎡,二层24000元/㎡.
确定可比实例修正系数的依据(略)。
修正计算:
| 可比实例 | 一 | 二 | 三 |
| 一层市场售价 | 45000 | 39000 | 38000 |
| 交易情况修正 | 90/100 | 100/100 | 100/100 |
| 交易日期修正 | 100/100 | 100/100 | 100/100 |
| 区域因素修正 | 100/110 | 100/105 | 100/106 |
| 个别因素修正 | 100/108 | 100/108 | 100/105 |
| 修正后的单价 | 34091 | 34392 | 34142 |
| 可比实例 | 一 | 二 | 三 |
| 二层市场售价 | 30000 | 25000 | 24000 |
| 交易情况修正 | 90/100 | 100/100 | 100/100 |
| 交易日期修正 | 100/100 | 100/100 | 100/100 |
| 区域因素修正 | 100/110 | 100/105 | 100/106 |
| 个别因素修正 | 100/117 | 100/110 | 100/105 |
| 修正后的单价 | 20979 | 21645 | 21563 |
一层比准价格为:(34091+34392+34142)÷3=34208(元/㎡)
二层比准价格为:(20979+21645+21563)÷3=21396(元/㎡)
第一、二层价值为:(34208+21396)×2830=157359320(元)
(二)酒店第10~13层估价
酒店第10~13层为客房,建筑面积4500㎡.因属于收益性房地产,故采用收益法进行估价。
选用收益法公式:
![]()
式:
式中:
V——房地产价格;
A——年净收益;
Y——报酬率;
n——尚可使用年限。
1、尚可使用年限n的确定
该酒店建筑物耐用年限为50年,已使用8年,故尚可使用年限为42年,即n=42.
2、年净收益A的确定
酒店第10~13层共有客房104间。根据该公司提供的1996年至1998年的经营情况分析表及财务报表,平均每间客房日租金为人民币400元,一年365天,则:
年总收入=104×400×365=15184000(元)
酒店客房收入中税、营业支出、管理费、维修费、保险费等总支出占45%。
年净收益 A=15184000×(1-45%)
=8351200(元)
3、报酬率Y的确定
采用累加法求取报酬率,求得的报酬率为8%。酒店第10~13层价值

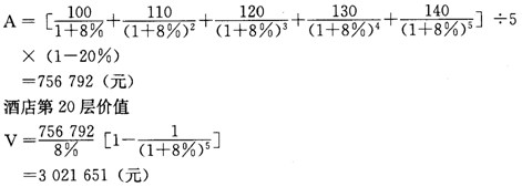
(三)酒店第20层估价
酒店第20层为卡拉0K室、酒吧,建筑面积为1 125㎡,现已出租经营,租期尚余5年。因属于收益性房地产,故采用收益法进行估价。
按租约规定,第20层的年租金收入在尚余的5年租期内分别为100万元、110万元、120万元、130万元、140万元,租赁税费占租金收入的20%。
计算年净收益:

(四)估价对象的总价值
157359320+100270342+3021651=260651313(元)
(五)应扣折旧额的确定
经实地考察,该酒店的成新率为八成,因此估价对象的现价值为:260651313×80%=2085210509(元)
七、估价结果确定
估价对象的总价值为人民币208521050元(大写人民币贰亿零捌佰伍拾贰万壹仟零伍拾元整)。
参考答案(可在下列20个中确定13个):
1.缺少房地产权属状况描述
2.缺少价值定义
3.酒店大堂采用市场比较法估价不当
4.第二层酒楼用市场比较法时选用商场作可比实例不当
5.酒店第一、二层市场比较法交易情况修正系数形式错
6.第二层估价交易案例一综合修正超过30%
7.第二层为收益性房地产,应选用收益法为其中一种方法
8.第10~13层尚可使用年限n应为土地使用权剩余年限,即为29年
9.第10~13层用收益法估价时未采用客观、未来的收益水平
10.对酒店大堂的估价有重复计算
11.第10~13层估价求收益时未考虑入住率
12.确定资本化率时安全利率选用不当
13.第20层估价时年净收益求取方法错误
14.第20层估价时未考虑5年以后的收益
15.总价值不应再扣除折旧
16.缺少估价作业日期
17.缺少确定估价结果的理由
18.第20层的资本化率应与第10~13层有所不同
19.应说明未来市场变化风险和短期强制处分等因素对抵押价值的影响
20.结果报告中和技术报告的建筑面积不吻合
改错题(指出并改正下列估价报告片断中的错误。错处不超过4个。后面应用前面的错误计算结果导致的错误不再算作错误。如将正确的内容改错,则每改错1处倒扣2.5分。本题最多扣至0分。请在答题纸上作答,不得在试卷上改错)
某房地产开发项目,规划用途为居住,土地使用权年限为1997年3月1日至2067年2月28日,土地使用权出让金已全部交清。规划建筑面积5000㎡,预计售价3000元/㎡.
该项目于1997年7月1日开工,原定工期9个月,建筑费为1200元/㎡,管理费为建筑费的5%。建筑费和相应的管理费投入时间为:开工后的第一季度投入30%,第二季度投入40%,第三季度投入30%。假定都在每季度中间投入,年利率6.66%,销售费用和销售税费分别为售价的3%和6%。开工后第一季度结束时,已有1000㎡建筑面积按3000元/㎡预售。开工后第二季度结束时,项目的原开发商拟将项目以合作开发的方式转让,转让方式为一次性付给一笔转让费,用于补偿已投入的土地使用权出让金和建筑费等投资,已预售的1000㎡的净销售收入在销售结束时由原开发商返还给合作方。现合作方委托估算该项目在1998年1月1日的价格。
采用假设开发法估价。预计项目在完工时可全部售出,投资利润率取20%,季度利率为1.665%。设项目在1998年1月1日价格为V,估算如下
1.计算开发完成后的价值
3000×5000÷(1+1.665%)=14754340(元)
2.计算建筑费
1200×5000×30%÷(1+1.665%)0.5=2641102(元)
3.计算管理费
2641102×5%÷(1+1.665%)0.5=130969(元)
4.计算销售费用和销售税费
14754340×(3%+6%) ÷(1+1.665%)=1306143(元)
5.计算利润
(V+2641102+130969+1306143)×20%=-0.2V+815643(元)
6.计算项目价格
V=开发完成后的价值-建筑费-管理费-销售税和销售费用-利润
=14754340-2641102-130969-1306143-0.2V-815643=8217069(元)
参考答案
1、计算管理费错,应为2641102×5%=132055(元)
2、计算销售费用和销售税费错,应为:
14754340×(3%+6%)=1327891(元)
3、计算利润错,应为:
(V+2641102+132055)×20%=0.2V+549231(元)
建设工程教育网整理





![[em2_01]](https://live.cdeledu.com/web/images/emoji/01.png)
![[em2_02]](https://live.cdeledu.com/web/images/emoji/02.png)
![[em2_03]](https://live.cdeledu.com/web/images/emoji/03.png)
![[em2_04]](https://live.cdeledu.com/web/images/emoji/04.png)
![[em2_05]](https://live.cdeledu.com/web/images/emoji/05.png)
![[em2_06]](https://live.cdeledu.com/web/images/emoji/06.png)
![[em2_07]](https://live.cdeledu.com/web/images/emoji/07.png)
![[em2_08]](https://live.cdeledu.com/web/images/emoji/08.png)
![[em2_09]](https://live.cdeledu.com/web/images/emoji/09.png)
![[em2_10]](https://live.cdeledu.com/web/images/emoji/10.png)
![[em2_11]](https://live.cdeledu.com/web/images/emoji/11.png)
![[em2_12]](https://live.cdeledu.com/web/images/emoji/12.png)
![[em2_13]](https://live.cdeledu.com/web/images/emoji/13.png)
![[em2_14]](https://live.cdeledu.com/web/images/emoji/14.png)
![[em2_15]](https://live.cdeledu.com/web/images/emoji/15.png)
![[em2_16]](https://live.cdeledu.com/web/images/emoji/16.png)
![[em2_17]](https://live.cdeledu.com/web/images/emoji/17.png)
![[em2_18]](https://live.cdeledu.com/web/images/emoji/18.png)
![[em2_19]](https://live.cdeledu.com/web/images/emoji/19.png)
![[em2_20]](https://live.cdeledu.com/web/images/emoji/20.png)






扫一扫立即下载
扫码添加老师