房地产估价师备考的小伙伴们复习得如何了?新政实施后同学们又增加了土地估价实务科目,这是门知识点非常多且难度不低的科目,今天网校为大家带来的就是其中的一个高频考点——成本逼近法,看完知识点后别忘记做后面的练习哦~
成本逼近法是以取得开发土地所耗费的各项客观费用之和为主要依据,加上客观的利润、利息、应缴纳的税金和土地增值收益等确定土地价格的方法。
成本逼近法一般适用于新开发土地、或土地市场欠发育、交易实例少的地区的土地价格评估。
土地价格=(土地取得费+土地开发费+税费+利息+利润)+土地增值=土地成本价格+土地增值
1.收集与估价有关的成本费用、利息、利润及增值收益等资料
2.通过直接或间接方式,求取待估宗地的土地取得费、土地开发费及相关的税费、利息、利润
(1)土地取得费
按取得土地使用权而支付的各项客观费用计算,不同取得方式下土地取得费如下表所示。
征用农村集体土地 | 征收补偿安置费用,主要包括被征收土地、地上青苗、建筑物及构造物的补偿费用及涉及人员的安置补助费用 | 依据待估宗地所在区域政府规定的相关标准,以应当支付的区域客观费用来确定 |
征收国有土地使用权 | 征收补偿安置费用,主要包括被征收土地使用权、地上青苗、建筑物及构筑物的补偿费用及涉及人员的安置补助费 | |
市场交易获得土地 | 估价期日土地的客观市场购置价格 | |
(2)土地开发费
土地开发费按该待估宗地设定开发程度下应投入的各项客观费用计算。
类别 | 具体费用 |
宗地红线外 | 达到设定开发程度需投入的各项开发费用 |
宗地红线内 | 土地平整费,根据估价目的和投资主体不同确定是否计入各类开发费用 |
属建成区内已开发完成的宗地,评估设定的开发程度最少应为宗地红线外通路、通上水、通电和宗地红线内土地平整。
(3)各项税费
土地取得和开发过程中应向政府缴纳的税费:占用耕地的耕地占用税和耕地开垦费、占用菜地的新菜地开发建设基金、征地管理费、政府规定的教育附加费等其他在土地取得过程中直接相关的税费等。
(4)土地开发利息
土地开发总投资应计算合理利息。土地开发总投资=土地取得费+土地开发费+各项税费。
土地开发周期超过一年者,利息应按复利计算。
(5)土地开发利润
土地开发总投资应计算合理的利润。
(6)确定土地增值
土地增值依据土地所在区域,因用途等土地使用条件改变或进行土地开发而产生的价值增加额或比率测算。
(7)对地价进行必要的修正,测算待估宗地价格
初步测算土地价格后,应根据待估宗地在区域内的位置和宗地条件,考虑是否需进行其他因素修正,确定土地价格。
当土地增值是以有限年期的市场价格与成本价格的差额确定时,不再另行年期修正;
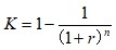
当土地增值是以无限年期的市场价格与成本价格的差额确定时,土地增值收益与成本价格一并进行年期修正,修正系数公式为:
式中:K—年期修正系数;
r—土地还原率;
n—土地使用年期。
当待估宗地为已出让土地时,应进行剩余使用年期修正。
【例题•不定项】下列关于成本逼近法中年期修正的说法中,不正确的是( )。
A.土地增值是以无限年期的市场价格与成本价格的差额确定时,土地增值收益与成本价格一并进行年期修正
B.土地增值是以有限年期的市场价格与成本价格的差额确定时,不再另行年期修正
C.待估宗地为已出让土地时,应进行剩余使用年期修正
D.增值额等于土地出让金,不进行年期修正
【答案】D
【解析】当土地增值是以有限年期的市场价格与成本价格的差额确定时,不再另行年期修正;当土地增值是以无限年期的市场价格与成本价格的差额确定时,土地增值收益与成本价格一并进行年期修正。当待估宗地为已出让土地时,应进行剩余使用年期修正。
【例题•不定项】在采用成本逼近法评估土地价格时,投资利润的计算基数不包括( )。
A.土地取得费
B.土地开发费
C.利息
D.税费
【答案】C
【解析】土地开发总投资应计算合理的利润。土地开发总投资包括土地取得费、土地开发费和各项税费。
【例题•不定项】有一宗工业用地,土地取得费及相关税费为15万元,为自有资金投入;土地开发费为20万元,通过银行贷款取得,贷款年利率为6%,土地开发期为1.5年。经调查,该宗地各项费用投入符合一般水平。则在成本逼近法计算中的投资利息为( )元。
A.8934
B.18000
C.22500
D.22634
【答案】D
【解析】投资利息=15×10000×[(1+6%)1.5-1]+20×10000×[(1+6%)1.5/2-1]=22634(元)。







![[em2_01]](https://live.cdeledu.com/web/images/emoji/01.png)
![[em2_02]](https://live.cdeledu.com/web/images/emoji/02.png)
![[em2_03]](https://live.cdeledu.com/web/images/emoji/03.png)
![[em2_04]](https://live.cdeledu.com/web/images/emoji/04.png)
![[em2_05]](https://live.cdeledu.com/web/images/emoji/05.png)
![[em2_06]](https://live.cdeledu.com/web/images/emoji/06.png)
![[em2_07]](https://live.cdeledu.com/web/images/emoji/07.png)
![[em2_08]](https://live.cdeledu.com/web/images/emoji/08.png)
![[em2_09]](https://live.cdeledu.com/web/images/emoji/09.png)
![[em2_10]](https://live.cdeledu.com/web/images/emoji/10.png)
![[em2_11]](https://live.cdeledu.com/web/images/emoji/11.png)
![[em2_12]](https://live.cdeledu.com/web/images/emoji/12.png)
![[em2_13]](https://live.cdeledu.com/web/images/emoji/13.png)
![[em2_14]](https://live.cdeledu.com/web/images/emoji/14.png)
![[em2_15]](https://live.cdeledu.com/web/images/emoji/15.png)
![[em2_16]](https://live.cdeledu.com/web/images/emoji/16.png)
![[em2_17]](https://live.cdeledu.com/web/images/emoji/17.png)
![[em2_18]](https://live.cdeledu.com/web/images/emoji/18.png)
![[em2_19]](https://live.cdeledu.com/web/images/emoji/19.png)
![[em2_20]](https://live.cdeledu.com/web/images/emoji/20.png)






扫一扫立即下载
扫码添加老师