单选题
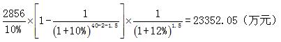
某在建商城的建设用地使用权于2年前以出让方式取得,土地使用期限40年,不可续期。预计尚需1.5年建成,总建筑面积为50000m2,可供出租的面积为总建筑面积的80%;经市场调查,目前当地该类商城的市场租金为每月90元/㎡,空置率为10%;预测该商城建成后当地该类商城的市场租金为每月100元/m2,空置率为15%,运营费用率为30%.报酬率为10%,折现率为12%,该商城开发完成后的现值为( )万元。
A、22253
B、23352
C、26488
D、27796
建设工程教育网原创·转载请注明出处
学员讨论(0)
相关资讯
- · 安徽省发布2023年度房地产估价师职业资格考试有关工作的通知
- · 重庆市关于2022年度房地产估价师职业资格考试报名工作的通告
- · 房地产估价师高频考点:宗地估价程序
- · 房地产估价师备考知识点:土地估价报告的基本内容
- · 河南省房地产估价技术指引之五——估价方法选用及估价结果确定
- · 北京协议出让地价评估技术有关问题的说明(一)
- · 2021年房地产估价师考试大纲《土地估价基础与实务》第四章
- · 2021年房地产估价师考试大纲《房地产估价原理与方法》第十二章
- · 安徽关于做好2021年度房地产估价师职业资格考试有关工作的通知
- · 2021年湖南房地产估价师报名时间:10月30日-11月4日






![[em2_01]](https://live.cdeledu.com/web/images/emoji/01.png)
![[em2_02]](https://live.cdeledu.com/web/images/emoji/02.png)
![[em2_03]](https://live.cdeledu.com/web/images/emoji/03.png)
![[em2_04]](https://live.cdeledu.com/web/images/emoji/04.png)
![[em2_05]](https://live.cdeledu.com/web/images/emoji/05.png)
![[em2_06]](https://live.cdeledu.com/web/images/emoji/06.png)
![[em2_07]](https://live.cdeledu.com/web/images/emoji/07.png)
![[em2_08]](https://live.cdeledu.com/web/images/emoji/08.png)
![[em2_09]](https://live.cdeledu.com/web/images/emoji/09.png)
![[em2_10]](https://live.cdeledu.com/web/images/emoji/10.png)
![[em2_11]](https://live.cdeledu.com/web/images/emoji/11.png)
![[em2_12]](https://live.cdeledu.com/web/images/emoji/12.png)
![[em2_13]](https://live.cdeledu.com/web/images/emoji/13.png)
![[em2_14]](https://live.cdeledu.com/web/images/emoji/14.png)
![[em2_15]](https://live.cdeledu.com/web/images/emoji/15.png)
![[em2_16]](https://live.cdeledu.com/web/images/emoji/16.png)
![[em2_17]](https://live.cdeledu.com/web/images/emoji/17.png)
![[em2_18]](https://live.cdeledu.com/web/images/emoji/18.png)
![[em2_19]](https://live.cdeledu.com/web/images/emoji/19.png)
![[em2_20]](https://live.cdeledu.com/web/images/emoji/20.png)






扫一扫立即下载
扫码添加老师