2007年全国房地产估价师执业资格考试
——房地产估价案例与分析试卷
一、问答题(共3题,每题10分)
(一)李某有一处房产,其《房屋所有权证》记载的建筑面积为300m2,用途为住宅,土地为出让使用权,土地使用期限至2060年9月30日。李某于2005年2月将该房屋改为商店并经营,于2006年6月以3000元/m2的价格将其卖给张某。由于融资的需要,张某于2006年9月30日委托甲房地产估价机构评估该房地产的低押价值,估价结果为2300元/m2。
请问:
1.张某认为该估价结果偏低,你认为应如何解释该估价结果的合理性?
2.2007年9月该房屋被列入拆迁范围,房屋拆迁许可证颁发日为2007年9月30日,乙房地产估价机构受拆迁人委托进行拆迁估价,估价结果为2800元/m2。张某认为该估价结果偏低,因2007年4月拆迁的邻近商铺的补偿单价为4000元/m2。你认为应如何解释该估价结果的合理性?
(二)甲公司有一建筑面积为50m2的临街首层店面,已出租,现拟以该店面向银行申请抵押贷款,委托乙房地产估价机构对其抵押价值进行评估。甲公司提供了临街地段结构、朝向相同的3个临街首层店面的成交情况,具体如下:
| 物业名称 | A | B | C |
| 建筑面积/m2 | 65 | 48 | 50 |
| 成交单价/(元/m2) | 15500 | 14500 | 15000 |
| 成交日期 | 2007年9月 | 2007年8月 | 2007年10月 |
请问:
1.你认为乙房地产估价机构应要求甲公司提供哪些估价所需的资料?
2.若将上述3个交易实例选做可比实例,对它们进行个别因素修正,你认为应考虑哪5个主要因素?(说明:回答若超过5个,只按前5个评分)
(三)2003年8月甲公司购买了某幢写字楼的第6~8层,2005年5月甲公司与乙公司签订了一个10年期、固定租金、租金按年支付的租赁合同。现要求房地产估价机构分别对出租人权益价值和承租人权益价值进行评估,估价时点为2007年10月15日。
请问:
1.评估出租人权益价值时,承租人是否毁约对房地产价值影响较太。仅就租赁合同分析承租人会从哪些方面考虑是否毁约。
2.说明评估承租人权益价值的技术路线。
二、单项选择题(共3大题,10小题,每小题2分)
(一)某公司有一钢筋混凝土结构厂房,于1997年12月31日建成投入使用,经济寿命为50年。经批准,该公司于2005年12月将该厂房改为二手汽车交易市场,并在办理二手汽车交易市场手续时补交了土地使用权出让金,将土地转变为出让商业用地,土地使用期限为40年,自2005年12月31日起至2045年12月30日止,不可续期。2007年6月30日,该公司与他方合资,以该二手汽车交易市场的房地产作价出资。
1.若评估二手汽车交易市场房地产的作价出资价格,下列说法中正确的是( )。
A、作价出资价格应为二手汽车交易市场房地产的原始价值
B、作价出资价格应为二手汽车交易市场房地产的账面价值
C、作价出资价格评估应采用公开市场价值标准
D、作价出资价格应较评估出的价值低
2.如果采用成本法估价,且建筑物的经济寿命等于其自然寿命,应按( )年计算建筑物的折旧。
A、38.5
B、40.5
C、48.0
D、50.0
3.如果采用收益法估价,经调查,在估价时点该二手汽车交易市场房地产的客观年净收益为300万元。且未来每年不变,报酬率为7.5%,则收益价格为( )万元。
A、3752.92
B、3786.20
C、3875.70
D、3892.44
4.若合资期限约定为20年,合资结束后的净资产按出资比例在出资各方间分配,则下述描述中最准确的是( )
A、业主方的作价出资额为二手汽车交易市场房地产现值
B、业主方的作价出资额为二手汽车交易市场房地产现值扣减20年后房地产剩余价值的折现值
C、业主方的作价出资额为二手汽车交易市场房地产的评估价值扣减在合资中需要投入的更新改造费用。
D、业主方的作价出资额在合资期限内应随二手汽车交易市场房地产的市场价格变动而适时调整
(二)某市土地管理部门挂牌整体出让一宗土地面积为50万m2的住宅用地。某房地产开发公司拟取得该宗土地。出让文件规定可以分期开发,该开发公司拟用滚动开发的模式进行房地产开发,具体计划如下:
| 开发期 | 开发面积 | 开工时间 | 完成时间 | 开始销售时间 |
| 第一期 | 20万m2 | 第1年6月 | 第3年6月 | 第3年1月 |
| 第二期 | 15万m2 | 第4年6月 | 第5年6月 | 第5年1月 |
| 第三期 | 15万m2 | 第5年6月 | 第6年6月 | 第6年1月 |
由于开发规模较大且拟采用新的施工技术方案,预计实际开发成本比社会平均开发成本低100元/m2;目前住宅需求旺盛,预计住宅市场价格会以每年5%的速度上涨。现该开发公司委托房地产估价机构评估其能承受的最高挂牌出让地价。、房地产估价机构在选用假设并发法进行估价时,用现金流量折现法进行测算。
5.房地产估价师确定现金流量折现法技术路线时,正确的做法是( )。
A、对三期开发的土地分别估价,将各期净现金流量分别折现至当期开发活动起始点
B、对宗地整体估价,将各期净现金流量分别折现至各期开发活动起始点
C、对宗地整体估价,将各年净现金流量折现至整个开发活动起始点
D、对宗地整体估价,对各期开发投资分别计息至各期开发活动结束点
6.在确定开发完成后的房地产价值时,应采用( )。
A、目前住宅市场价格
B、未来住宅市场价格,折现至估价时点
C、各期开始销售时的市场价格,分别折现至估价时点
D、各期各年销售时的平均市场价格,分别折现至估价时点
7.在确定开发成本时,应采用( )。
A、该开发公司测算的开发成本
B、现时的客观开发成本
C、各期销售时的客观开发成本
D、各期开发时的客观开发成本
8.在计算扣除项时,除开发成本、管理费用外,还应包括( )。
A、销售费用、销售税费和开发利润
B、销售费用、销售税费和所得税
C、销售费用、销售税费和购地税费
D、销售费用、销售税费、投资利息和购地税费
(三)某房地产估价师运用市场法和假设开发法对一宗4270m2的商业用地于2007年10月21日的土地使用权价格进行评估,该宗地的剩余使用期限为39年,两种估价方法测算出的结果分别为2000元/m2和2300元/m2。假设2006年10月和2007年10月该区域的该类土地定基价格指数分别为102、106;土地报酬率为6%。 建设工程教育网提供
9.运用加权算术平均法得出的最终估价结果的分布范围是( )。
A、[2000,2300]
B、[2030,2270]
C、[2060,2240]
D、[2090,2210]
10.假设该宗地于2007年10月21日的土地使用权价格为2250元/m2,则该宗地于2006年10月21目的土地使用权价格是( )元/m2。
A、2136
B、2165
C、2179
D、2206
三、下列房地产估价报告存在多处错误,请指明其中的13处(每指明一处错误得3分,本题全对得40分。每个错误对应一个序号,未将错误内容写在序号后面空格处的不计分)
封面和目录(略)
致委托人函
××市中级人民法院:
受贵法院的委托,我公司对位于××市××路3号楼5层整层957.3m2办公用途的房地产(以下简称估价对象)进行了估价。
估价时点:2007年3月5日。
我公司根据《房地产估价规范》(GB/T502911999)的要求,根据估价目的,遵循估价原则,按照估价程序,采用科学合理的估价方法,在认真分析现有资料基础上,结合估价经验与影响房地产市场价格因素的分析,确定估价对象在满足全部假设限制条件下于估价时点2007年3月5日的市场价值为人民币壹仟零玖拾万元整(RMB 1094万元整),折合每平方米建筑面积单价为人民币壹万壹仟肆佰叁拾叁元整(RMB 11433元/m2)。
估价报告应用的期限 自2007年3月16日起1年。
随函附交3份房地产估价报告。
××××房地产评估有限公司(盖章)
法定代表人:×××(签字)
2007年3月16日
注册房地产估价师声明
我们郑重声明:
1.我们在本估价报告中陈述的事实是真实的和准确的。
2.本估价报告中的分析、意见和结论是我们自己公正的专业分析、意见和结论,但受到本估价报告中已说明的假设和限制条件的限制。
3.我们与本估价报告中的估价对象没有利害关系,也与有关当事人没有个人利害关系或偏见。
4.我们依照中华人民共和国国家标准《房地产估价规范》进行分析,形成意见和结论,撰写本估价报告。
5.我们已对本报告中的估价对象进行了实地查看。
6.没有人对本估价报告提供了重要专业帮助。
7.本报告不可作为任何形式的产权证明文件。
8.未经本估价机构书面同意,本报告的全部或任一部分均不得用于公开的文件、通告或报告中,也不得以任何方式公开发表。
注册房地产估价师:×××(签名盖章)注册号:(略)
注册房地产估价师:×××(签名盖章)注册号:(略)
估价的假设和限制条件(略)
估价结果报告
一、委托人(略)
二、估价机构(略)
三、估价对象
根据《房屋所有权证》(证号:×房地×字[2000]第××××号)、《国有土地使用证》[证号:××地×字(1999)第××号]、实地查看情况及调查资料,估价对象房地产的区位、实物、权益状况如下:
(一)区位状况
位置:坐落××市××路3号楼5层整层
城市规划:行政办公区
环境景观:优美整洁
公共服务及基础设施完备程度:基本完备
商务氛围:处于××市行政中心范围
(二)实物状况
1.土地状况
用途:办公
地号:××区××街道163街坊1/6丘
四至:(略)
土地等级:1级
土地共用面积:3500m2
地势:土地平整
其中土地分摊面积:500m2
2.建筑物状况
建筑面积:957.3m2
建筑结构:砖混一等
层数:7层,无地下室,估价对象处于5层
层高:3.3m,檐高:24m
用途:办公
竣工日期:1999年12月1日
装修:室内普通装修、公共部分精装修
设施设备、建筑类型、外观、空间布局、维护保养使用情况等(略)
利用现状:现空置
(三)权益状况
1.建筑物权益状况 根据《房屋所有权证》(证号:×房地×字[2000]第××××号)记载:估价对象建筑物权利人:×××、×××,所有权性质:私有,用途:办公,建筑面积957.3m2,砖混一等。
2.土地使用权权益状况 根据《国有土地使用证》(证号:××地×字[1999,第××号)记载:估价对象土地用途为办公,其土地使用权性质为国有出让。土地共用面积:3500m2,其中分摊土地面积:500m2,土地使用期限自1999年3月5日起50年。本报告按无续期考虑。
3.他项权利状况 估价对象已设定他项权利(抵押权),抵押权人为中国工商银行××支行,至估价时点尚未注销。具体情况如下:
他项权利人:中国工商银行××支行
权利种类:期房抵押
建筑面积:9573m2;
权利价值:574.38万元
抵押部分:5层整层
设定日期:1999年8月
他项权证号:×房地×他字(1999)第×××号
四、估价目的
为法院办案提供价格参考。
五、评估的价值类型和定义
采用公开市场价值标准评估估价对象在满足本次估价全部假设和限制条件下于估价时点的市场价值。
六、估价时点
估价时点为2007年3月15日。
七、估价依据(略)
八、估价原则(略)
九、估价方法
本报告选用的估价方法为市场法和收益法。
市场法是根据类似房地产的成交价格来求取估价对象价值的方法;即选取一定数量的可比实例并将它们与估价对象进行比较,对可比实例的成交价格进行适当的修正来求取估价对象价值的方法。
收益法采用报酬资本化法,即房地产价值等于预测估价对象未来各期的净收益,选用适当的报酬率将其折算到估价时点后相加来求取估价对象价值的方法。
综合两种估价方法的估价结果,确定估价对象估价值。
十、估价结果
根据估价目的,遵循估价原则,按照估价程序,采用科学合理的估价方法,在认真分析现有资料基础上,结合估价经验与影响房地产市场价格因素的分析,确定:估价对象在满足全部假设限制条件下于估价时点2007年3月5目的市场价值为:人民币 壹仟零玖拾肆万元整(RMB 1094万元整),折合每平方米建筑面积单价为:人民币壹万壹仟肆佰叁拾叁元整(RMB11433元/m2)。
十一、估价报告应用的限制
本估价报告有效期自完成之日起一年内使用有效,即2007年3月16日至2008年3月15日。
十二、估价作业日期
2007年3月5日至2007年3月16日
十三、注册房地产估价师及其他参与估价的人员(略)
估价技术报告
一、估价对象分析(略)
二、房地产市场分析(略)
三、最高最佳使用分析(略)
四、估价方法选用
本报告所采用的估价方法为市场法和收益法。
市场法是根据类似房地产的成交价格来求取估价对象价值的方法;即选取一定数量的可比实例并将它们与估价对象进行比较,对可比实例的成交价格进行适当的修正来求取估价对象价值的方法。 建设工程教育网提供
收益法采用报酬资本化法,即房地产价值等于预测估价对象未来各期的净收益,选用适当的报酬率将其折算到估价时点后相加来求取估价对象价值的方法。
综合两种估价方法的估价结果,确定估价对象估价值。
五、估价的测算过程
市场法的基本步骤为:
搜集交易案例→选取可比实例→建立价格可比基础→交易情况修正→市场状况(交易日期)调整→房地产状况调整(区域因素、个别因素)→求取比准价格其基本计算公式如下:
估价对象比准价格=可比实例成交价格×交易情况修正系数×市场状况调整系数×房地产状况调整系数
(一)市场法
1.选取可比实例 搜集类似房地产的交易实例,根据估价对象的用途、交易类型、区位和交通、基础设施等具体条件(表1),选择3个可比实例进行比较。
表1 可比实例表
| 项目 | 实例A | 实例B | 实例C |
| 坐落 | ××路14号楼4层 | ××路4号楼2层 | ××路6号楼3层 |
| 用途 | 办公 | 办公 | 办公 |
| 交易价格/(元/m2) | 12915 | 11438 | 12504 |
| 价格类型 | 成交价格 | 成交价格 | 成交价格 |
| 交易日期 | 2006年11月 | 2006年9月 | 2006年8月 |
| 土地状况 | 出让 | 出让 | 出让 |
2.可比实例与估价对象比较分析 可比实例与估价对象的各种房地产价格影响因素说明见表2。
表2 因素条件对比说明表
| 比较因素 | 估价对象 | 实例A | 实例B | 实例C | |
| 坐落 | ××路3号楼5层 | ××路14号楼4层 | ××路4号楼2层 | ××路6号楼3层 | |
| 交易情况 | 整层转让市场价格 | 成交价格 | 成交价格 | 成交价格 | |
| 交易日期 | 2007年3月5日 | 2006年11月 | 2006年9月 | 2006年8月 | |
| 房地产价格/(元/m2) | 12915 | 11438 | 12504 | ||
| 区 域 因 素 |
商务氛围 | 较好 | 较好 | 较好 | 较好 |
| 公共配套 | 较好 | 较好 | 较好 | 较好 | |
| 公交便捷度 | 较好 | 较好 | 较好 | 较好 | |
| 基础设施状况 | 较好 | 较好 | 较好 | 较好 | |
| 区域规划环境 | 较好 | 较好 | 较好 | 较好 | |
| 主朝向 | 南北向 | 南北向 | 南北向 | 南北向 | |
| 个别因素 | 建筑面积 | 957.3m2 | 1050m2 | 930m2 | 885m2 |
| 容积率 | 1.9 | 2.1 | 2.2 | 2.0 | |
| 土地使用年限 | 42年 | 43年 | 43.5年 | 42.5年 | |
| 竣工年代成新度 | 1999年12月1日 九成新 |
2000年3月九成新 | 2000年5月九成新 | 2000年8月九成新 | |
| 建筑结构 | 混合 | 混合 | 混合 | 混合 | |
| 配套设备 | 一般、齐备 | 一般、齐备 | 一般、齐备 | 一般、齐备 | |
| 停车位 | 可满足 | 可满足 | 可满足 | 可满足 | |
| 内部装饰 | 普通 | 高档、部分豪华 | 中高档 | 中高档 | |
| 建筑外观 | 风格新颖 | 风格一般 | 风格新颖 | 风格新颖 | |
| 户型、布局 | 合理、便于使用 | 合理、便于使用 | 合理、便于使用 | 新型办公平面布局 | |
3.修正调整过程 以估价对象的备因素条件为基准,相应分值为100,将可比实例交易时的相应因素条件与估价对象比较,确定出相应的分值。(区域因素与个别因素中子因素权重相同)。
表3 因素条件分值表
| 比较因素 | 估价对象 | 实例A | 实例B | 实例C | |
| 坐落 | ××路3号楼5层 | ××路14号楼4层 | ××路4号楼2层 | ××路6号楼3层 | |
| 房地产价格/(元/m2) | 12915 | 11438 | 12504 | ||
| 交易情况 | 100 | 100 | 100 | 100 | |
| 交易日期 | 100 | 99 | 98 | 99 | |
| 区 域 因 素 |
小计 | 100 | 100 | 100 | 100 |
| 商务氛围 | 0 | 0 | 0 | ||
| 公共配套 | 0 | 0 | 0 | ||
| 公交便捷度 | 0 | 0 | 0 | ||
| 基础设施状况 | 0 | 0 | 0 | ||
| 区域规划环境 | 0 | 0 | 0 | ||
| 主朝向 | 0 | 0 | 0 | ||
| 个别因素 | 小计 | 100 | 106 | 104 | 106 |
| 建筑面积 | -0.5 | 0 | 0.5 | ||
| 容积率 | -1.5 | -2 | -1 | ||
| 土地使用年限 | 1.5 | 2 | 1 | ||
| 竣工年代成新度 | 0 | 0 | 0 | ||
| 建筑结构 | 0 | 0 | 0 | ||
| 配套设备 | 0 | 0 | 0 | ||
| 停车位 | 0 | 0 | 0 | ||
| 内部装饰 | 7.5 | 4 | 4 | ||
| 建筑外观 | -1 | 0 | 0 | ||
| 户型、布局 | 0 | 0 | 1.5 | ||
根据上述分值,得到修正调整系数,并将各可比实例成交价格修正调整为符合估价对象条件的比准价格。
表4 可比实例因素条件修正调整系数与比准价格表
| 项目 | 实例A | 实例B | 实例C |
| 可比实例价格/(元/m2) | 12915 | 11438 | 12504 |
| 交易情况修正 | 100/100 | 100/100 | 100/100 |
| 交易日期调整 | 99/100 | 98/100 | 99/100 |
| 区域因素调整 | 100/100 | 100/100 | 100/100 |
| 个别因素调整 | 100/106 | 100/104 | 100/106 |
| 比准价格/(元/m2) | 12062 | 10778 | 11678 |
4.市场法估价结果 3个可比实例比准价格比较接近,取其简单算术平均值为市场法求取的估价对象的比准价格:
(12062+10778+11678)/3=11506元/m2
(二)收益法测算
收益法的基本步骤为:
搜集预测需要的有关收入和费用的数据资料→估算潜在毛收入→估算有效毛收入→估算运营费用→预测估算净收益一求取适当的报酬率→选用适宜的报酬资本化法公式求出收益价格。 建设工程教育网提供
根据市场分析预测,估价对象房地产未来的净收益将逐年递增,所以选择净收益按一定比率递增、有限年期的公式。
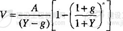
其计算公式如下:

式中:
V一房地产的收益价格;
A一一房地产未来每年净收益;
Y一一房地产的报酬率;
n一一房地产的收益期限;
g一一净收益逐年递增的比率。
1.租赁收入的确定根据估价人员现场调查,该地区类似办公楼的市场租金水平因建筑物状况、装修、设施等不同,约为1.8~2.5元/(m2·天),根据估价对象的具体情况,经估价人员综合分析,确定估价对象现状条件下可能实现的市场租金水平为2元/(m2·天)。
2.空置率及租金损失率的确定根据估价人员的调查,考虑目前该地区的办公用房的供给需求状况及空置水平,该地区办公用房紧张,出租率水平在90%左右,确定空置率及租金损失率合计为10%。
3.年有效毛收入的确定
有效毛收入=日租金收入×天数/年×(1-置及租金损失率)
4.净收益的确定根据目前房地产租赁市场出租人负担的租赁成本分析,主要包括维修费、管理费、保险费、房地产税、租赁费用、租赁税费、物业管理费、采暖空调费等,其他由承担人支付。经市场调查,确定租赁运营费用率为20%。
现时年净收益=有效毛收入×(1-运营费用率)
5.报酬率的确定房地产报酬率实质上是房地产投资回报与所投入资本的比率,报酬率可采用累加法确定。
报酬率=无风险报酬率+投资风险补偿率+管理负担补偿率+缺乏流动性补偿率-投资带来的优惠率
房地产报酬率确定为6%。
6.剩余收益期限的确定根据《国有土地使用证》,估价对象登记土地性质为出让,土地使用期限自1999年3月5日起50年。本报告设定估价对象剩余使用期限42年,无续期。
7.租金年增长率的确定经估价人员综合分析,确定估价对象租金年增长率为2.5%。
8.收益价格的确定。

表5 收益法计算过程 (每平方米)
| 租金收入/[元/(m2·天)] | 2 |
| 年计算天数/天 | 365 |
| 空置及租金损失率 | 10% |
| 第1年有效毛收入/元 | 657 |
| 租赁运营费用率 | 20% |
| 减租赁运营成本费用 | 131 |
| 第1年净收益/元 | 526 |
| 土地剩余使用年限/年 | 42 |
| 报酬率 | 6% |
| 租金收入年增长率 | 2.5% |
| 收益价格/(元/m2) | 11360 |
运用收益法求取的估价对象收益价格为11360元/m2。
(三)估价对象房地产价格的确定
采用两种不同途径进行估价得到的不同结果均其有一定的意义和客观依据,因两个结果差异不大,经综合考虑,取两种方法测算结果的算术平均值作为本次估价结果。
估价对象房地产单价=(11506+11360)/2=11433元/m2 估价对象房地产总价=11433×957.3=10944811元
取整为1094万元。
单价为11433元/m2
六、估价结果
根据《房地产估价规范》(GB/T50291-1999)的要求,根据估价目的,遵循估价原则,按照估价程序,采用科学合理的估价方法,在认真分析现有资料基础上,结合估价经验与影响房地产市场价格因素的分析,确定:估价对象在满足全部假设限制条件下于估价时点2007年3月5目的市场价值为人民币 壹仟零玖拾肆万元整(RMB 1094万元整),折合每平方米建筑面积单价为人民币 壹万壹仟肆佰叁拾叁元整(RMB 11433元/m2)。
附 件
1.《委托司法鉴定函》(复印件)
2.《房屋所有权证》(复印件)
3.《国有土地使用证》(复印件)
4.估价对象地理位置示意图
5.估价对象小区实景照片
6.估价机构资质证书(复印件)
7.估价机构营业执照(复印件)
8.房地产估价师注册证书(复印件)
四、指出并改正下面估价报告片断中的错误(本题10分。错处不超过4个,后面应用前面的错误计算结果导致的错误不再算作错误。如将正确的内容改错,则每改错一处倒扣2.5分。本题最多扣至零分)。
估价对象现状为一空置厂房,土地面积4000m2,总建筑面积6000m2,分析其所在区位特点和周边环境,适宜装修改造成纯办公楼出租;装修改造方案获得政府主管部门批准后,补办了相关手续、补交了土地价款,土地使用期限自2007年10月1日起50年,总建筑面积不变。现需评估估价对象在2007年10月1目的市场价格(购买总价和单价)。
有关资料如下:
1.预计估价对象装修改造的工期为1年,装修后即可全部租出,可出租面积为建筑面积的97%。经调查,附近同档次办公楼可出租面积平均为建筑面积的85%,可出租面积的平均年租金经预测稳定在1000元/m2,空置和租金损失率为10%,出租成本及税费为年租金收入的25%。 建设工程教育网整理
2.预计装修改造费用(含管理费用)为每平方米建筑面积1000元,假设费用在装修改造期间均匀投入。
3.折现率为12%,销售费用及销售税费率为7%(与销售同时发生),购买现厂房的税费为3%。
估价测算如下(节选):
一、估算净收益
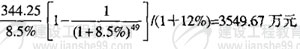
净收益=1000×6000×85%×(1-10%)×(1-25%)=344.25(万元)
二、测算报酬率Y
采用市场提取法,通过调查类似办公用途房地产的价格、净收益等资料,根据公式
采用试算法推算报酬率。具体如下:
求取可比实例报酬率表
| 序号 | 项目 | 案例A | 案例B | 案例C | 案例D |
| 1 | 租金[元/(m2·月)] | 150 | 80 | 82 | 85 |
| 2 | 剩余收益年限n/年 | 40 | 46 | 47 | 46 |
| 3 | 房地产售价V/(元/m2) | 10000 | 6900 | 6500 | 6700 |
| 4 | 报酬率 | 9.994% | 7.909% | 8.092% | 8.005% |
注:上表计算结果无误。
报酬率=(9.994%+7.909%+8.092%+8.005%)/4=8.500%
取整报酬率为8.5%。
三、估算装修改造后的办公楼总价值

四、装修改造费用总额
装修改造费用=1000×6000/(1+8.5%)0.5=576.02万元
五、销售费用与销售税费
销售费用与销售税费=3981.45×7%/(1+12%)=248.84万元
六、购买现厂房的税费
设估价对象的市场价格总价为V,则
购买现厂房的税费总额=V×3%
七、计算估价对象在估价时点的市场价格。
估价对象的市场价格总价V=3554.87-248.84-576.02-0.03V
V=2650.50万元
单价=2650.50/6000=4417.49元/m2
参 考 答 案
一、问答题
(一)答:
1.理由包括:
(1)二者的时点不同,价值不同。
(2)二者的价值类型不同。其中,转让价格为市场上的实际成交价格,抵押价值为正常市场价格和减法定优先受偿后的价值。
(3)二者对房地产用途的界定可能存在差异。抵押价值是按照法定用途,即住宅进行评估的价值;转让价格有可能考虑了住宅可作为商业用途对价值的影响。
2.理由包括:
(1)二者的时点不同,价值不同。
(2)拆迁估价结果和拆迁补偿金额的内涵不同。拆迁补偿金额包含了拆迁补助费、临时安置补助费、装修补偿费。
(3)对估价对象的界定可能不同。
(二)答:
1.甲公司应提供的资料包括:权属资料,包括房地产产权证,或土地使用权证、房屋所有权证;租赁合同或租赁协议;法定优先受偿款的说明或证明,以及关于他项权利的说明或证明。建设工程教育网信息
2.应考虑的因素包括:土地使用年限(或房地产受益年限或新旧程度或成新度);宽深比或临街宽度或临街状况:使用面积比例或得房率或面积、使用面积等;装修或实施设备情况;净高或平面布局或内部格局或平面形状等。
(三)答:
1.
(1)市场租金和合同租金(或租约租金)差异的大小。
(2)承租方对估价对象已投入的成本大小。
(3)承租方与出租方约定的保证金数额大小及约定的租约条件。
2.取租赁期内的租赁合同约定的租金和市场租金的差额在估价时点的现值之和为承租人权益的价值。
二、单项选择题
(一)1.C;2.C;3.A;4.A;
(二)5.C;6.D;7.A;8.C;
(三)9.D;10.D。
三、指错题
1.致委托人函中缺少估价目的。
2.注册房地产估价师声明缺少参加实地勘察的估价人员姓名。
3.结果报告中区位状况缺少交通条件、朝向等介绍。
4.结果报告中土地状况缺少土地使用年限、建筑容积率、建筑覆盖率、绿地率等指标。
5.结果报告中权益状况没有交代房屋共有权人及《房屋共有权证》,土地使用权人。
6.未考虑抵押情况对价值的影响。
7.他项权利日期不够具体。
8.结果报告中估价目的叙述不清。
9.没有说明估价方法选用理由。
10.市场比较法未说明可比实例的交易情况是否正常。
11.市场比较法中缺少比较因素修正说明。
12.市场比较法中交易日期调整系数错误。
13.收益法公式中对A的说明错误。
14.收益法中未说明租金内涵。
15.收益法中房地产报酬率的确定没有具体的说明。
16.收益法中租金年增长率的确定无依据。
17.附件缺少房屋共有权证复印件。
18.附件缺少估价对象内部照片。
19.附件缺少他项权利证明。
四、改错题
1.净收益测算错误,应采用估价对象的可出租面积比例为87%
净收益=1000×6000×87%×(1-10%)×(1-25%)=352.35万元
2.测算报酬率Y中,案例A与估价对象差异较大,应剔除
报酬率=7.909%+8.092%+8005%1=8.002%
3.装修改造后的办公楼价值测算错误,收益年限应为49年
装修改造后的办公楼价值=
或:
装修改造后的办公楼价值=352.35/8%×[1-1/(1+8%)49]/(1+12%)=3841.92万元
4.装修改造费用的计算错误,折现率应为12%。
装修改造费用:1000×6000÷(1+12%)0.5=566.95万元





![[em2_01]](https://live.cdeledu.com/web/images/emoji/01.png)
![[em2_02]](https://live.cdeledu.com/web/images/emoji/02.png)
![[em2_03]](https://live.cdeledu.com/web/images/emoji/03.png)
![[em2_04]](https://live.cdeledu.com/web/images/emoji/04.png)
![[em2_05]](https://live.cdeledu.com/web/images/emoji/05.png)
![[em2_06]](https://live.cdeledu.com/web/images/emoji/06.png)
![[em2_07]](https://live.cdeledu.com/web/images/emoji/07.png)
![[em2_08]](https://live.cdeledu.com/web/images/emoji/08.png)
![[em2_09]](https://live.cdeledu.com/web/images/emoji/09.png)
![[em2_10]](https://live.cdeledu.com/web/images/emoji/10.png)
![[em2_11]](https://live.cdeledu.com/web/images/emoji/11.png)
![[em2_12]](https://live.cdeledu.com/web/images/emoji/12.png)
![[em2_13]](https://live.cdeledu.com/web/images/emoji/13.png)
![[em2_14]](https://live.cdeledu.com/web/images/emoji/14.png)
![[em2_15]](https://live.cdeledu.com/web/images/emoji/15.png)
![[em2_16]](https://live.cdeledu.com/web/images/emoji/16.png)
![[em2_17]](https://live.cdeledu.com/web/images/emoji/17.png)
![[em2_18]](https://live.cdeledu.com/web/images/emoji/18.png)
![[em2_19]](https://live.cdeledu.com/web/images/emoji/19.png)
![[em2_20]](https://live.cdeledu.com/web/images/emoji/20.png)






扫一扫立即下载
扫码添加老师