《建设工程经济(第三版)》网上增值服务
(2011年第四期)
第一部分 勘误汇总
| 页码 | 行 | 误 | 正 |
| 89 | 17 | 静态会记等式 | 静态会计等式 |
| 109 | 6 | 变更、索赔、变更 | 变更、索赔、奖励 |
| 110 | 倒17 | 发生成本170万元 | 发生成本1750万元 |
| 120-121 | 例1Z102042-8 | 本例题不完善 | 详见“网上答疑”问题12 |
| 173 | 表1Z103026-2第(6)栏 | 300+25.2+13.608=353.808 | 315+25.2+13.608=353.808 |
问题1
教材P9页,例1Z101012-4,如果第一次投1000万元,10%的利率,第一年末就可收回100万元,以此类推下去,是符合题意的,不知本题答案379.08万元的第一年的100万元利息怎么来的?请说明,如5年复利计息也是在第5年末,第1、2年的利息被收回了,也就不能计息了吧?
答:请提问题的学员注意,你的“如果”不符合原题题意。原题是复利计息下每年末等额收回100万元,这100万元包括两部分:一是本期初未回收投资在本期的利息,二是本期回收的投资额,两者合计为100万元(如第1年:收取本期利息37.908万元,回收投资62.092万元,两者合计收回100万元)。即:
| 使用期 | 年初款额 | 年 末 利 息 | 年末本利和 | 年末收回 |
| 1 | 379.08 | 379.08×10%=37.908 | 416.988 | 100 |
| 2 | 316.988 | 316.988×10%=31.6988 | 348.6868 | 100 |
| 3 | 248.6868 | 248.6868×10%=24.86868 | 273.55548 | 100 |
| 4 | 173.55548 | 173.55548×10%=17.355548 | 190.911028 | 100 |
| 5 | 90.911028 | 90.911028×10%=9.0911028 | 100.0021308 | 100 |
问题2
网上增值服务一P6页第四练习题的公式(见下面楷体)与教材P9页不一样是怎么回事?谢谢!
4.若10年内每年年初存款2000元,年利率为6%,按复利计,第10年年末本利和为多少元?若想在第4年年末取款9725元,年利率为6%,按复利计,从现在起4年内每年年初应存入银行多少元?
答:本教材只在1Z101062中设备租金计算方法--年金法“有期初流量”计算情形,见计算式(1Z101062-5),除此之外,一律按期末流量计算。因为等值计算公式的推导是依据现金流量图进行的,而等额支付系列现金流量图中年金A是发生在(或折算为)某一特定时间序列各计息期末(不包括零期)的等额资金序列的价值。
(1)对于等额支付系列期初现金流量年金Ab,其计算终值Fb的计算式如下:

若10年内每年年初存款2000元,利率为6%,按复利计,第10年年末本利和由上式计算为27943.29元。
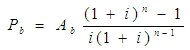
(2)对于等额支付系列期初现金流量年金Ab,其计算现值Pb的计算式如下:

若年利率为6%,按复利计,想在第4年年末取款9725元,从现在起4年内每年年初应存入银行2097.22元。
答:增值教材中的问答正是说明两者的区别。
教材P9页“图1Z101012-3 等额支付系列现金流量示意图”表明是“期末”流量[教材P10第8行也说明“(4)各期的等额支付A,发生在各期期末”].
教材P64页“图1Z101062 年金法计算租金现金流量示意图”表明是“期初”流量[教材P64图1Z101062下一行也说明“期初支付方式是在每期期初等额支付租金,期初支付要比期末支付提前一期支付租金”].
增值教材中的问答正是告诉学员要注意“期末”终值F、现值P与“期初”终值Fb、现值Pb两者是不同的,别搞混了。
问题3
教材P14页,根据公式ieff=I/P=(1+r/m)m-1,半年期实际利率不是应该为Ieff=(1+2%)4-1吗?为什么指数是2而不是4呢?请指点迷津,谢谢!
答:请注意本题是等额系列流量,计息期是季度,收付期是半年。根据教材P13倒数6~7行“对等额系列流量,只有计息周期与收付周期一致时才能按计息期利率计算。否则,只能用收付周期实际利率来计算。”因此,本例只能用“收付周期实际利率来计算”,这就必须把“计息期季度利率”换算成“半年期实际利率”,而一个半年有两个季度。这就是“为什么指数是2而不是4”的原因。
问题4
教材P14页,例1Z101013-3中的“12.029”是怎样算出来的呢?
答:(F/A,4.04%,2×5)=[(1+4.04%)10-1]/4.04%=12.029
问题5
教材P21页,例1Z101023有以下几问:
(1)第1.3项的第二年为什么贷款利息是60万元,而不是120万元?
(2)总投资TI计算为什么只加第二年的利息,不加后几年的?为什么没有加上上表中部2.3的贷款利息?
(3)本题中总投资中建设期贷款利息计算时不含投产期所付利息,而配套习题中第28页第17题,总投资中建设期贷款利息计算时又含投产期所付利息,请问建设期贷款利息到底含不含投产期所付出的利息?
答:(1)关于“第二年为什么贷款利息是60万元,而不是120万元?”请见教材P163“1Z103015建设期利息的计算”即可明白。
(2)关于“总投资TI计算为什么只加第二年的利息,不加后几年的?”请见教材P29第13~16行或P47“(二)建设期利息” 即可理解。关于“为什么没有加上上表中部2.3的贷款利息”:在生产期内,建设投资和流动资金的贷款利息,按现行的财务制度,均应计入技术方案总成本费用中的财务费用。
(3)关于教材与配套习题的矛盾之处,以教材为准。
[下一页]
建设工程教育网整理





![[em2_01]](https://live.cdeledu.com/web/images/emoji/01.png)
![[em2_02]](https://live.cdeledu.com/web/images/emoji/02.png)
![[em2_03]](https://live.cdeledu.com/web/images/emoji/03.png)
![[em2_04]](https://live.cdeledu.com/web/images/emoji/04.png)
![[em2_05]](https://live.cdeledu.com/web/images/emoji/05.png)
![[em2_06]](https://live.cdeledu.com/web/images/emoji/06.png)
![[em2_07]](https://live.cdeledu.com/web/images/emoji/07.png)
![[em2_08]](https://live.cdeledu.com/web/images/emoji/08.png)
![[em2_09]](https://live.cdeledu.com/web/images/emoji/09.png)
![[em2_10]](https://live.cdeledu.com/web/images/emoji/10.png)
![[em2_11]](https://live.cdeledu.com/web/images/emoji/11.png)
![[em2_12]](https://live.cdeledu.com/web/images/emoji/12.png)
![[em2_13]](https://live.cdeledu.com/web/images/emoji/13.png)
![[em2_14]](https://live.cdeledu.com/web/images/emoji/14.png)
![[em2_15]](https://live.cdeledu.com/web/images/emoji/15.png)
![[em2_16]](https://live.cdeledu.com/web/images/emoji/16.png)
![[em2_17]](https://live.cdeledu.com/web/images/emoji/17.png)
![[em2_18]](https://live.cdeledu.com/web/images/emoji/18.png)
![[em2_19]](https://live.cdeledu.com/web/images/emoji/19.png)
![[em2_20]](https://live.cdeledu.com/web/images/emoji/20.png)






扫一扫立即下载
扫码添加老师