造价工程师模拟试题一直被视为考前复习的一个重点资料。为了助力造价工程师考生们备考一级造价工程师考试,建设工程教育网整理了2004年-2018年的造价工程师模拟练习题及答案解析。希望考生们多看习题,提前了解出题特点,为即将到来的一级造价工程师考试做充分的准备。
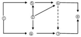
其工程双代号网络图如下图所示,存在的绘错误是()。

A.多个起点节点
B.多个终点节点
C.节点编号有误
D.存在循环回路
学员讨论(0)
造价工程师模拟试题一直被视为考前复习的一个重点资料。为了助力造价工程师考生们备考一级造价工程师考试,建设工程教育网整理了2004年-2018年的造价工程师模拟练习题及答案解析。希望考生们多看习题,提前了解出题特点,为即将到来的一级造价工程师考试做充分的准备。
其工程双代号网络图如下图所示,存在的绘错误是()。

A.多个起点节点
B.多个终点节点
C.节点编号有误
D.存在循环回路
扫一扫 立即关注

