24小时客服电话:010-82333888
  • 官方号
    微信公众号
    热门资讯,实时推送
    微信号:jianshe99zb
    官方视频号
    免费直播,订阅提醒
    微信扫码即可关注
    考试指导老师
    扫码了解并领取资料
    微信扫码即可添加
    官方抖音号
    分享更多建工日常
    抖音扫一扫关注
  • APP下载
    扫一扫,立即下载
    医学教育网APP下载

    开发者:北京正保建工教育科技有限公司

    苹果版本:8.5.0

    安卓版本:8.5.0

    应用涉及权限:查看权限>

    APP:隐私政策:查看政策>

  • 当前位置:建设工程教育网 > 一级造价工程师 > 试题中心 > 历年考题

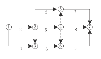
    某工程双代号网络计划如下图所示,其中关键线路有多少条

    2013-10-23 17:19 来源:建设工程教育网
    打印
    字体:

      2012年造价工程师考试《造价管理》试题单选题第50题

      某工程双代号网络计划如下图所示,其中关键线路有(  )条。

    2012年造价工程师考试《造价管理》试题单选题第50题

      A.1

      B.2

      C.3

      D.4

      【答案】B

      【建设工程教育网老师权威解析】:关键线路为:1-3-6-7和1-2-4-7两条。关键线路的总持续时间最长,以上两天线路的总持续时间都是15天。参见教材P229。

      答案及解析由网校老师整理而成,据学员反映部分网站未经许可擅自转载,且出现内容错误,请大家以本网为准。

    若您在造价学习过程中有任何疑问,欢迎进入论坛讨论

      推荐

      ·2014年造价工程师考试高分通过方案

      ·2004年-2012年度造价工程师历年试题及答案

      ·关注造价工程师官方微信,获取一手辅导资料!

    造价工程师官方微信

    责任编辑:天蓝
    学员讨论(0
    • 公开课
    • 辅导课程
    • 免费直播
    新人有礼:体验课+免费资料+专享优惠
    精品题
    • 题库小程序
    正保刷题宝

    · AI智能组卷

    · 海量试题

    · VIP解锁全部

    限时免费体验
    学习社区
    • 备考交流
    • 微信
    • 抖音
    • 视频号
    拒绝盲目备考,加学习群共同进步!
    寻找学习搭子
    回到顶部
    折叠