咨询方法与实务1——回归分析
[背景介绍]
某产品过去五年的销售额与目标市场人均收入的数据如下表,预计2006年该产品的目标市场人均收入为1800元。
1999-2003历年产品销售额与目标市场人均收入表
| 年份 | 1999 | 2000 | 2001 | 2002 | 2003 |
| 产品销售额(万元) | 30 | 35 | 36 | 38 | 40 |
| 人均收入(元) | 1000 | 1200 | 1250 | 1300 | 1400 |



| n-2 | 1 | 2 | 3 | 4 | 5 | 6 | 7 | 8 | 9 | 10 |
| α=0.05 | 0.997 | 0.950 | 0.878 | 0.811 | 0.754 | 0.707 | 0.666 | 0.632 | 0.602 | 0.576 |
| α=0.01 | 1.000 | 0.990 | 0.959 | 0.917 | 0.874 | 0.834 | 0.798 | 0.765 | 0.735 | 0.708 |
[解答]
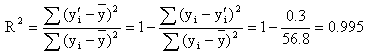
根据一元线性回归方程,将 值代入,求得 分别为:30.05、35.05、36.3、37.55、40.05.所以

得R=0.997
查表知α=0.05,自由度=n-2=5-2=3时,得R0.05=0.878
因R=0.997 >0.878= R0.05
表明在α=0.05的显著性检验水平上,检验通过,说明人均收入与该产品销售额线性相关的假定是合理的(或者产品销售额和人均收入之间的线性关系成立)。
[问题]3.对2006年可能的销售额进行点预测。
[解答]已知X2006=1800元,代入模型得Y2006=a+bX2006=5.05+0.025×1800=50.05万元
[提示]一元线性回归预测是大纲中要求掌握的内容,复习时要牢记方程式以及其中各个符号代表的含义、回归系数的计算方法。回归检验要能够理解、计算相应的系数R2、tb、F,必须学会查表(表格一般都会给出)并根据查得的数据解释x和y是否成线性。
这是这类题目有点像数学计算题,前后推导关系紧密。考试时,要详细写出计算过程,特别是计算公式和一些符号的含义不能写错,结论也是不能缺少的。
建设工程教育网原创·转载请注明出处

扫码并回复咨询工程师进群

56:57
18:24
42:41
37:51







