财务评价指标中的动态回收期计算
【提问】老师好,请问财务评价指标中的动态回收期计算怎么计算和评价,请举例说明。
另外,教材中哪里有说明呢?请告知,谢谢!
【回答】学员deng1112,您好!您的问题答复如下:
动态投资回收期就是累计现值等于零时的年份。
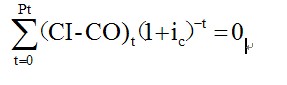
其公式为:
式中:Pt——动态投资回收期i c——基准收益率这个公式不是监理考试的范围,了解一下即可。
★问题所属科目:监理工程师——建设工程投资控制
责任编辑:tracy
交流分享,早日上岸!
扫码添加老师进群
【提问】老师好,请问财务评价指标中的动态回收期计算怎么计算和评价,请举例说明。
另外,教材中哪里有说明呢?请告知,谢谢!
【回答】学员deng1112,您好!您的问题答复如下:
动态投资回收期就是累计现值等于零时的年份。
其公式为:
式中:Pt——动态投资回收期i c——基准收益率这个公式不是监理考试的范围,了解一下即可。
★问题所属科目:监理工程师——建设工程投资控制
责任编辑:tracy