咨询工程师考试《项目决策分析与评价》模拟题(3)
1.计算建设期利息时,如果贷款是按季度、月份平均发放,为了简化计算,通常假设( )。
A.贷款均在每年的年中支用
B.贷款均在每年的年初支用
C.贷款均在每年的年末支用
D.贷款按月计息
2.流动资金估算应注意不能按( )负荷下的流动资金乘以负荷百分数求得。
A.100%
B.80%
C.85%
D.90%
3.在项目决策分析与评价阶段要考虑融资方案的( ),为最终的融资决策提供依据。
A.程序
B.进度
C.设计
D.类别
4.根据规定,新组建的公司项目可以采取( )的方式筹集资本金。
A.银行贷款
B.发行债券
C.设备租赁
D.发行股票
25.出口信贷通常只能提供设备价款( )的贷款。
A.15%
B.75%
C.100 0A
D.85 0A
6.可能提供第三方保证的担保人有( )。
A.蓝天幼儿园
B.红十字会
C.学校
D.项目的发起人
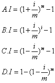
7.若借款年金不是按年结息,名义利率与有效利率的换算公式为(i为名义利率,m为每年结息次数)( )。

8.固定价格体系所采用的价格为( )。
A.实价
B.时价
C.定价
D.基价
9.判别资本金内部收益率是否满足要求的基准参数是( )。
A.财务基准收益率
B.最低可接受收益率
C.财务评价中最重要的基准参数
D.最高可接受收益率
10.采用双倍余额递减法计算年折旧额。条件:固定资产净值为1000万元,折旧年限20年,则年折旧额为( )。
A.50万元
B.100万元
C.900万元
D.全不对
1.答案:A借款是按季度、月份平均发放,为了简化计算,通常假设借款均在每年的年中支用,借款第一年按半年计息,其余各年份按全年计息。
2.答案:A不同生产负荷下的流动资金是按照相应负荷时的各项费用金额和给定的公式计算出来的,而不能按100%负荷下的流动资金乘以负荷百分数求得。
3.答案:C在项目决策分析与评价阶段要考虑融资方案的设计并进行必要的分析研究或评估,以便为最终的融资决策提供依据。特别是大型投资项目的融资通常需要良好的组织,需要系统的融资方案。
4.答案:D新组建公司项目资本金来源主要有:
(1)各级政府财政预算内资金、预算外资金及各种专项建设基金;
(2)国家授权投资机构提供的资金;
(3)国内外企业、事业单位入股的资金;
(4)社会个人入股的资金;
(5)项目法人通过发行股票从证券市场上筹集的资金。
5.答案:D出口信贷通常不能对设备价款全额贷款,通常只能提供设备价款85%的贷款,其余的15%价款需要由进口商以现金支付。
6.答案:D可能提供第三方保证的担保人主要有:项目的发起人、股东、与项目实施有利害关系的第三方、商业性的担保人。
7.答案:A筹资成本利率通常采用年利率表示,如果借贷资金不是按年结息,还要将名义利率换算为有效利率。换算方法如下:
8.答案:D基价(Base year price),是指以基年价格水平表示的,不考虑其后价格变动的价格,也称固定价格(Constant price)。如果采用基价,项目计算期内各年价格都是相同的,就形成了财务评价的固定价格体系。
9.答案:B对于资本金内部收益率来说,其判别基准应为最低可接受收益率。它的确定主要取决于当时的资本收益水平以及资本金所有者对权益资金收益的要求,涉及资金机会成本的概念,还与投资者对风险的态度有关。
10.答案:B双倍余额递减法的计算公式为:
年折旧额=固定资产净值×年折旧率
代人数值即得。
建设工程教育网整理

扫码并回复咨询工程师进群

56:57
18:24
42:41
37:51







