咨询工程师《方法与实务》案例1:项目进度管理
案例2:项目进度管理
1.第一题
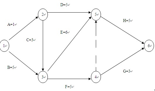
[背景资料]
某工程项目的双代号网络见下图。(时间单位:月)

[问题]
1.计算时间参数。
2.判断关键线路,并计算工期。
3.请绘制最早时间双代号时标网络图。
[参考答案]
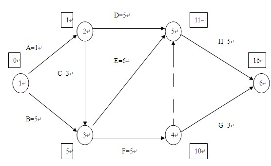
1.计算时间参数
采用节点法计算时间参数,计算结果见下图。

最早时间:大左到右累加,取最大值
最迟时间:从右向左递减,取小值
自由时差:该工作在不影响其紧后工作最早开始时间的情况下,所具有的机动时间。
总时差:该工作在不影响总工期情况下所具有的机动时间。
2.判断关键线路,并计算工期
关键线路为1-3-5-6,计算工期为16个月。
方法1:线路最长者为关键线路
方法2:将关键工作连起来为关键线路
关键工作:
1)当计划工期=计算工期时总时差为零的工作为关键工作
2)当计划工期≠计算工期时总时差最小者为关键工作
3.最早时间双代号时标网络图见下图。
一种为最早时间双代号实标网络,第二种是最迟时间的双代号时标网络。
(1)计算各节点最早时间(从左向右累加,取大值)
(2)绘制时标
(3)将节点按照最早时间标注在时标图中。
(4)将每项工作按照逻辑关系标注在时标图中。

最迟时间的双代号时标网络
(1)计算各节点最迟时间(△)
(2)绘制时标;
(3)将各节点按照最迟时间标注在时标图中;
(4)将各项工作按照逻辑关系标注在时标图中。
[参考文献]:本案例涉及工程项目进度管理,详见《工程项目组织与管理》第九章,P219、226.
建设工程教育网整理

扫码并回复咨询工程师进群

56:57
18:24
42:41
37:51







