2013年咨询工程师《项目决策分析与评价》每日一练(6.24)
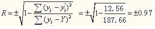
通过最小二乘估计,得到某地区某种钢板消费量(Y)与同期第二产业产值(X)的一元线性回归方程,经计算∑(yi-yi')2=12.56,∑(yi-y)2=187.66,对其进行相关系数检验,相关系数值为( )。
A.0.97
B.-0.06
C.0.90
D.-0.05
【正确答案】:A

【答案解析】:计算相关系数:
参见教材P36。
【该题针对"市场预测"知识点进行考核】
建设工程教育网原创·转载请注明出处

扫码并回复咨询工程师进群

56:57
18:24
42:41
37:51






扫一扫下载建设
扫一扫立即关注