2013年咨询工程师《项目决策分析与评价》每日一练(7.5)
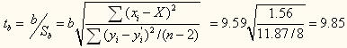
通过最小二乘估计,得到某地区某种钢板消费量(Y)与同期第二产业产值(X)的一元线性回归方程,经计算∑(yi-yi')2=11.87,∑(xi-x)2=1.56,取α=0.05,对其进行t检验,结论是( )。(已知t(0.05,8)=1.86;t(0.025,8)=2.36,n=10)
A.tb大于1.86,线性假设合理
B.tb大于1.86,线性假设不合理
C.tb大于2.36,线性假设合理
D.tb大于2.36,线性假设不合理
建设工程教育网原创·转载请注明出处

扫码并回复咨询工程师进群


56:57
18:24
42:41
37:51






扫一扫下载建设
扫一扫立即关注