2008年造价工程师考试《工程造价案例分析》习题二
案例二:某建设投资项目,设计生产能力20万吨,已知生产能力为5万吨的同类项目投入设备费用为4000万元,设备综合调整系数1.25,该项目生产能力指数估计为0.85,该类项目的建筑工程是设备费的15%,安装工程费用是设备费的18%,其他工程费用是设备费的7%,这三项的综合调整系数定为1.0,其他投资费用估算为500万元,该项目的自有资金9000万元,其余通过银行贷款获得,年利率为8%,每半年计息一次。建设期为2年,投资进度分别为40%,60%,基本预备费率为10%,建设期内生产资料涨价预备费率为5%,自有资金筹资计划为:第一年5000万元,第二年4000万元,该项目固定资产投资方向调节税为0,估算该项目的固定资产总额。建设期间不还贷款利息。
该项目达到设计生产能力以后,全厂定员200人,工资与福利费按照每人每年12000元估算,每年的其他费用为180万元,生产存货占用流动资金估算为1500万元,年外购原材料、燃料及动力费为6300万元,年经营成本为6000万元,各项流动资金的最低周转天数分别为:应收账款36天,现金40天,应付账款30天。
问题:(1)估算建设期借款利息。
(2)用分项估算法估算拟建项目的流动资金。
(3)求建设项目的总投资估算额。
答案:
(1)估算建设期借款利息
①采用生产能力指数法估算设备费为:

②采用比例法估算静态投资为:
建安工程费=16245.05×(1+15%+18%+7%)×1.0+500=23243.07(万元)
基本预备费=(设备及工器具购置费用+建安工程费用+工程建设其他费用)×基本预备费费率
基本预备费=23243.07×10%=2324.31(万元)
建设项目静态投资=建安工程费+基本预备费=23243.07+2324.31=25567.38(万元)
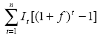
③计算涨价预备费为:
涨价预备费=
第1年的涨价预备费=25567.38×40%×5%=511.35(万元)
第1年含涨价预备费的投资额=25567.38×40%×(1+5%)=10738.30(万元)
第2年的涨价预备费=25567.38×60%×[(1+5%)2-1]=1572.39(万元)
第2年含涨价预备费的投资额=25567.38×60%+1572.39=16912.82(万元)
涨价预备费=511.35+1572.39=2083.74(万元)
④计算建设期借款利息为:

本年借款=本年度固定资产投资-本年自有资金投入
第1年当年借款=10738.30-5000=5738.30(万元)
第2年借款=16912.82-4000=12912.82(万元)
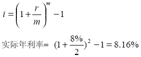
各年应计利息=(年初借款本息累计+本年借款额/2)×年利率
第1年贷款利息=(5738.30/2)×8.16%=234.12(万元)
第2年贷款利息=[(5738.30+234.12)+12912.82/2]×8.16%=1014.19(万元)
建设期贷款利息=234.12+1014.19=1248.31(万元)
⑤计算建设项目的总投资:
固定资产投资总额=建设项目静态投资+涨价预备费+建设期贷款利息
=25567.38+2083.74+1248.31=28899.43(万元)
(2)用分项估算法估算拟建项目的流动资金。
估算流动资金投资额=流动资产-流动负债
流动资产=应收帐款+存货+现金
①应收帐款=年经营成本÷年周转次数
=6000÷(360÷36=)=600(万元)
②存货=1500(万元)
③现金=(年工资福利费+年其他费用)÷年周转次数
=(1.2×200+180)÷(360÷40)=46.67(万元)
流动资产=应收帐款+存货+现金=600+1500+46.67=2146.67(万元)
④应付帐款=年外购原材料燃料动力费÷年周转次数
=6300÷(360÷30)=525(万元)
流动负债=应付帐款=525(万元)
流动资金投资=2146.67-525=1621.67(万元)
(3)建设项目的总投资估算额
建设项目的总投资=固定资产投资总额+流动资金投资+其他投资
=28899.43+1621.67=30521.1(万元)

扫码了解并领取一造资讯及资料













