2017二建施工管理每日一练:双代号网络计划(10.19)
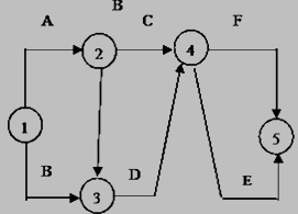
某分部工程各工作之间的逻辑关系如下表所示。根据该逻辑关系表绘出的正确网络图是( )。
| 工作 | A | B | C | D | E | F |
| 紧前工作 | —— | —— | A | A、B | D | C、D |
A、
B、
C、
D、
建设工程教育网原创·转载请注明出处
交流分享,早日上岸!
扫码领取二建备考资料进入二建备考群
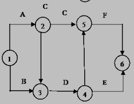
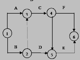
某分部工程各工作之间的逻辑关系如下表所示。根据该逻辑关系表绘出的正确网络图是( )。
| 工作 | A | B | C | D | E | F |
| 紧前工作 | —— | —— | A | A、B | D | C、D |
A、
B、
C、
D、
建设工程教育网原创·转载请注明出处