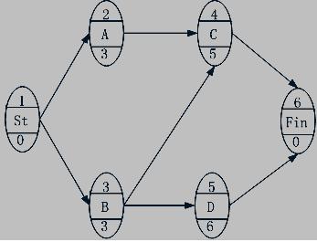
2017二建施工管理每日一练:单代号网络计划(11.29)
- 福建省关于2025年度二级建造师资格证书领取的通知
- 铜陵市关于公布2025年度二级建造师考试合格人员名单和领取证书的通知
- 关于领取马鞍山考区2025年二级建造师考试执业资格证书的通知
- 江西省2025年度二级建造师(含增项)考试合格证书办理信息
- 黑龙江关于发放2025年度二级建造师执业资格考试合格证书的通知
- 宿州市关于领取2025年二级建造师职业资格证书的通知
- 六安市关于领取2025年度二级建造师执业资格考试证书的通知
- 营口市关于发放2025年度二级建造师执业资格考试合格证书的通知
- 黄山市发布关于领取2025年二级建造师专业技术资格考试合格证书的通知
- 阜阳市发布关于领取2025年度二级建造师执业资格考试证书的通知


010-82333888
扫码领取二建备考资料进入二建备考群





53:51
62:37
46:34
62:53
50:51
59:19
31:28






扫一扫下载建设
扫一扫立即关注