某工程施工进度计划网络图中,下列说法中,正确的有哪些
2011年二级建造师考试《机电工程管理与实务》试题多选题第18题
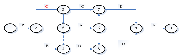
某工程施工进度计划网络图中,下列说法中,正确的有( )。
A.R的紧后工作有A.B
B.E的紧前工作只有C
C.D的紧后工作只有F
D.P没有紧前工作
E.A.B的紧后工作都有D

【答案】ACDE
【建设工程教育网老师权威解析】:本题考查的是工程网络进度计划。由网络图可知E的紧前工作有两项,分别是A和C工作,所以选项B错误。
答案及解析由网校老师整理而成,据学员反映部分网站未经许可擅自转载,且出现内容错误,请大家以本网为准。
推荐:
·2014年二建教材即将改版,获取一手老师解读信息,关注官方微信!

- 福建省关于2025年度二级建造师资格证书领取的通知
- 铜陵市关于公布2025年度二级建造师考试合格人员名单和领取证书的通知
- 关于领取马鞍山考区2025年二级建造师考试执业资格证书的通知
- 江西省2025年度二级建造师(含增项)考试合格证书办理信息
- 黑龙江关于发放2025年度二级建造师执业资格考试合格证书的通知
- 宿州市关于领取2025年二级建造师职业资格证书的通知
- 六安市关于领取2025年度二级建造师执业资格考试证书的通知
- 营口市关于发放2025年度二级建造师执业资格考试合格证书的通知
- 黄山市发布关于领取2025年二级建造师专业技术资格考试合格证书的通知
- 阜阳市发布关于领取2025年度二级建造师执业资格考试证书的通知


010-82333888
扫码领取二建备考资料进入二建备考群


53:51
62:37
46:34
62:53
50:51
59:19
31:28





