2011年二级建造师《建设工程施工管理》模拟题(22)
1.下列内容不属于施工成本控制步骤的是( )。
A.观察
B.比较
C.分析
D.纠偏
2.某施工项目直接费用为1200万元,其中直接工程费为800万元,措施费400万元,直接工程费中的人工费为300万元,该施工项目的安全施工费费率为2%,则该施工项目的安全施工费为( )万元。
A.24
B.16
C.8
D.6
3.下列不属于因素分析法的计算步骤是( )。
A.确定分析对象,并计算出实际与目标数的差异。
B.确定该指标是由哪几个因素组成的,并按其相互关系进行排序
C.以目标数为基础,将各因素的目标数相加,作为分析替代的基数
D.各个因素的影响程度之和,应与分析对象的总差异相等
4.下列关于分部分项工程量清单,说法不正确的是( )。
A.投标人对投标文件提供的分部分项工程量清单必须逐一计价
B.投标人对清单所列内容不允许作任何更改变动
C.投标人如果认为清单内容不妥或遗漏,可以按照自己的理解修改更正
D.投标人应按照清单上的项目填报综合单价
5.FIDIC施工合同条件下工程变更的估价,不需要采用新的费率或价格的是( )。
A.如果此项工作实际测量的工程量比工程量表或其他报表中规定的工程量的变动大于10%
B.此工作是根据变更与调整的指标进行的
C.由于该项工作与合同中的任何工作没有类似的性质或不在类似的条件下进行,故没有规定的费率或价格适用
D.如合同中无某项内容,应取类似工作的费率或价格
6.索赔利润的款额计算通常是与( )中的利润百分率保持一致。
A.原报价单
B.实际费用
C.实际成本
D.该工程总费用
7.如果某分项工程的费用偏差小于O,进度偏差大于O。那么已完工作实际费用(ACWP)、计划工作预算费用(BCWS)和已完工作预算费用(BCWP)的关系可表示为( )。
A.BCWP>ACWP>BCWS
B.BCWS>BCWP>ACWP
C.ACWP>BCWP>BCWS
D.BCWS>ACWP:>BCWP
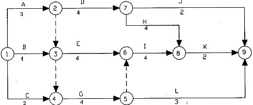
8.某工程双代号网络计划如下图所示,其中工作A的总时差为( )天。

A.0
B.1
C.2
D.3
9.施工成本控制的实施步骤为( )。
A.预测、分析、比较、纠缠、检查
B.分析、检查、预测、比较、纠偏
C.比较、分析、预测、纠偏、检查
D.比较、预测、分析、检查、纠偏
10.进度目标分析和论证的目的是( )。
A.落实进度控制的措施
B.决定进度计划的不同功能
C.分析进度目标是否合理
D.确定进度计划系统内部关系
建设工程教育网整理

扫码领取二建备考资料进入二建备考群


53:51
62:37
46:34
62:53
50:51
59:19
31:28







