您还不是会员
APP学习更便捷
交流分享,早日上岸!
请在我的网校我的家中查看
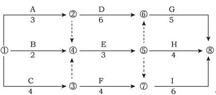
某工程双代号网络计划如下图所示,其中关键线路有( )条。
A、4
B、3
C、2
D、1
【正确答案】C
【答案解析】本题考查的是标号法。采用标号法计算,更为简便。关键线路有:1-2-6-8;1-3-7-8.参见教材P129。
建设工程教育网原创·转载请注明出处
一级造价工程师考试建设工程造价管理
达江老师
一级造价工程师考试 建设工程计价
李娜老师
一级造价工程师考试建设工程造价案例分析(土建)
王英老师
一级造价工程师考试建设工程造价案例分析(安装)
陈江潮老师
历年试题
模拟考试
巩固练习
试题解析
挑战极限
每日一练
建设工程教育APP更多免费题库请下载
一级建造师指南 报名 准考证 试题 成绩
二级建造师指南 报名 准考证 试题 成绩
一级造价师 指南 动态 政策 试题 复习
房地产估价师 指南 报名 准考证 试题 成绩
注册安全工程师 指南 报名 政策 试题 成绩
二级造价师 指南 动态 政策 试题 复习
监理工程师 指南 报名 准考证 试题 成绩
咨询工程师 指南 动态 政策 试题 复习
实务操作 BIM 实务大讲堂 资料免费下载