2015年咨询工程师《项目决策分析与评价》每日一练9.12
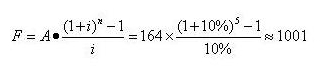
某企业年初向银行借得一笔款项,有效期利率为10%,偿还期为5年,如果采用等额还本付息方式还款,每年某企业需要偿还164万元。现企业决定采用到期一次还本付息式还款,则到期偿还的本利和是( )万元。
A.625
B.825
C.902
D.1001
建设工程教育网原创·转载请注明出处


交流分享,早日上岸!
某企业年初向银行借得一笔款项,有效期利率为10%,偿还期为5年,如果采用等额还本付息方式还款,每年某企业需要偿还164万元。现企业决定采用到期一次还本付息式还款,则到期偿还的本利和是( )万元。
A.625
B.825
C.902
D.1001
建设工程教育网原创·转载请注明出处