2011房地产估价师《经营与管理》讲义精选(8)
2.10 等比年值换算为等额年值
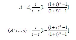
等比现金流量序列换算成等额年值A
等差序列年费用系数

【资金的时间价值基本换算总结】
| 换 算 | 符号表示 | 系数名称 | 系数表示方法 | 公 式 | 形象记忆 |
| 现值换算为终值 | 一次支付复本利和系素 | (存款) 一次存钱,到期本利取出 | |||
| 终值换算为现值 | 一次支付现值系素 | (存款) 已知到期本利合计数,求最初本金。 | |||
| 年值换算为终值 | 等额支付终值系数 | (存款) 等额零存整取 | |||
| 终值换算为年值 | 等额支付偿还基金系数 | (存款) 已知最后要取出一笔钱,每年应等额存入多少钱 | |||
| 年值换算为现值 | 等额支付现值系数 | (养老金) 一次性存入一笔钱,以后若干年每年可领取年金若干,求当初存入多少钱 | |||
| 现值换算为年值 | 资本回收系数 | (按揭)(养老金) 住房按揭贷款,已知贷款额,求月供或年供 |
| 换 算 | 符号 | 系数名称 | 形象记忆 |
| 等差年值换算为现值 | (P/G,I,n) | 等差序列现值系数 | 如租金等差的增加 |
| 等差年值换算为等额现值 | (A/G,I,n) | 等差序列年费用系数 | |
| 等比年值换算为现值 | (P/S,I,n) | 等比序列现值系数 | 如建造成本按一定比例逐年增加 |
| 等比年值换算为等额年值 | (A/S,I,n) | 等比序列年费用系数 |
【资金的时间价值变化换算总结】
建设工程教育网整理

扫码并回复房地产估价师进群

39:39
54:49
52:07
35:05







