2011房地产估价师《经营与管理》讲义精选(7)
2.6 现值换算为年值 P~A
公式

形象记忆
(房奴的法宝之二:按揭算月供)住房按揭贷款,已知贷款额,求月供或年供
系数名称
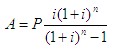
等额序列支付资金回收系数(A/P,i, n)
【典型例题】
某人贷款12万元,分10年摊还,年利率为6%,按月计息,则每月的偿还金额为多少?
【解析】已知P(现值),要求的是A(年值)
注意计息期,已知的是年利率,但求的是月还款额,P=12万元,i=6%÷12=0.5%,n=10×12=120
A=P(A/P,6%/12,120)=12×0.0111=0.1332(万元)
【例5-4】
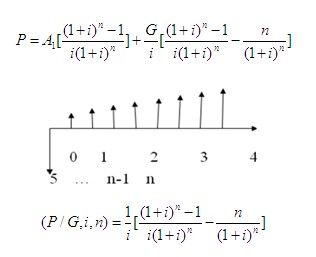
2.7 等差年值换算为现值
等差年值换算为现值
等差序列现值系数

2.8 等差年值换算为等额年值
等差现金流量序列换算成等额年值A
等差序列年费用系数

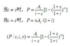
2.9 等比年值换算为现值
等比年值换算为现值
等比序列现值系数

【2006年】
某家庭提供了年利率为6%、按月等比递增偿还、期限为20年的个人住房抵押贷款,若月还款递增值率为0.2%,首期偿还额为1600元,则该家庭在第6年最后一个月地还款额为( )元
A. 1843.86
B. 1847.55
C. 2279.87
D. 2291.27
【答案】A
【解析】

【例5-5】
某购房者拟向银行申请60万元的住房抵押贷款,银行安排了等比递增还款模式。年抵押贷款利率为6.6%,期限为15年,购房者的月还款额增长率为0.5%,问该购房者第10年最后一个月份的月还款额是多少

建设工程教育网整理

扫码并回复房地产估价师进群

39:39
54:49
52:07
35:05







