2011房地产估价师《经营与管理》讲义精选(16)
2.财务内部收益率(FIRR)(financial Internal Rate of Return)
2.1 内涵
概念
财务内部收益经是指项目在整个计算期内,各年净现金流量现值累计等于零时的折现率
公式
NPV=0时,求i
经济含义(三种含义)
项目寿命期内项目内部未收回投资每年的净收益率
以此收益率,到项目寿命期终了时,所有投资可以被完全收回
也表明了项目投资所能支付的最高贷款利率
2.2 内部收益率的计算
内部收益率函数的性质-是减函数
i1时,净现值为NPV1>0,则IRR一定比i1大
i2时,净现值为NPV2<0,则IRR一定比i2小

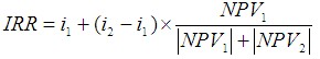
计算方法-插值法
i1时,净现值为NPV1>0
i2时,净现值为NPV2<0
I1和i2之差不应超过1%-2%

2.3 判定标准
将IRR与行业基准收益率或目标收益率ic比较
IRR≥ic时,项目在财务上可行
IRR<ic时,项目在财务上不可行
指标说明-有可能出现多解或无解的情况
对于净现金注量的正负号在项目寿命期内仅有一次变化的,FIRR有唯一的实解
对于净现金流量的正负号在项目寿命期内有多次变化的非常规项目,FIRR可能有多个实解

建设工程教育网整理

扫码并回复房地产估价师进群

39:39
54:49
52:07
35:05







