2011房地产估价师《经营与管理》讲义精选(5)
2.资金等效值换算
【换算的基本框架】(3+2+6+4)

三个值
P:现值\F:终值\A:年值
两个因素
利率(i)\计息期(n)
六种基本换算及六个系数

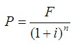
2.1 现值换算为终值 P~F
2.2 终值换算为现值 F~P
2.3 年值换算为终值 A~F
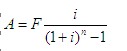
2.4 终值换算为年值 F~A
2.5 年值换算为现值 A~P
2.6 现值换算为年值 P~A
四种特别换算(两种等差换算+两种等比换算)
2.7 等差年值换算为现值A'-P
2.8 等差年值换算为等额年值A'-A
2.9 等比年值换算为现值A''-P
2.10等比年值换算为等额年值A''-A、
2.1 现值换算为终值 P~F(一次支付终值)
公式
![]()

形象理解
(存款)一次存钱,到期本利合计多少
系数名称
一次支付终值系数(F/P,i, n)
【典型例题】
某房地产开发商向金融机构贷款500万元,按复利计息,年利率为12%。若第五年末一次还本付息,应偿还多少万元?
【解析】
F=P(F/P,i,n)=P(1+i)n =500×(1+12%)5=881(万元)
2.2 终值换算为现值 F~P (一次支付现值)
公式

形象记忆
(存款)已知到期本利合计数,求最初本金。
系数名称
一次支付现值系数(P/F,i, n)
【典型例题】
将一笔资金按年利率6%存入银行,以复利计息,要在5年后本利和为100万元,则现在应存款多少元?
【解析】
P=F(P/F,i,n)=F/(1+i)n =100÷(1+6%)5=74.73万元
2.3 年值换算为终值 A~F(等额序列)
公式

形象记忆
(存款)等额零存整取
系数名称
等额序列支付终值系数(F/A,i, n),也叫等额序列支付资金回收系数
【典型例题】
若每年年末存入银行10万元,年利率为6%,则5年后的复本利和为多少元?
【解析】
F=A(F/A,i, n)=10×5.637=56.37(万元)
2.4 终值换算为年值 F~A
公式

形象记忆
(存款、养老保险)已知最后要取出一笔钱,每年应等额存入多少钱 .年青时定期等额支付养老金,想到一定年龄一次性取出一定钱数,问年青时每月或每月应存入多少钱。
系数名称
等额序列支付储存基金系数(A/F,i, n)
【典型例题】
计划每年年末存入银行等额数额的资金(等额零存),欲在7年后整取为1000元,若存款利率为8%,则每年末存入金额为多少?
【解析】
A=F(A/F,i, n)=1000(A/F,8%,7) =1000×0.1121 =112.1(元)
建设工程教育网整理

扫码并回复房地产估价师进群

39:39
54:49
52:07
35:05







