2011房地产估价师《经营与管理》讲义精选(15)
第三节 动态盈利能力指标及其计算
1.财务净现值FNPV (financial netpresent value)
1.1 内涵
定义
是指项目按行业的基准收益率或设定的目标收益率,将项目计算期内各年的净现金流量折算到投资活动起始点的现值之和
实质
将发生在不同时点的现金流,统一折算到0点位置,再进行代数运算,含义上是考虑了时间价值的利润指标

A-P或F-P
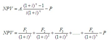
1.2 计算公式
各年净现金流量相等时(A-P)
各年净现金流量不相等时(F-P)

1.3 基准收益率
反映资金时间价值的参数
是投资所要求的最低投资报酬率,称最低要求收益率
决定因素(两个)
资金成本
风险
1.4 项目计算期的界定n
开发投资
出售的:开发期+销售期
出租或自营的:开发期+经营期
置业投资:
经营准备期+经营期
1.5 判定标准
NPV≥0,说明方案的获利能力达到或超过了基准收益率的要求 项目在财务上可以接受
NPV<0,说明方案达不到预定的收益水平,方案不可接受
【注意】NPV=0时,项目是可行的
建设工程教育网整理

扫码并回复房地产估价师进群

39:39
54:49
52:07
35:05







