2012一级建造师《水利水电工程管理与实务》正版考试用书增值服务第二次(二)

图2 单距离偏心测量
显然,单距离偏心测量适合于待测点与测站点不通视的情况。计算公式如下:

式中 xC、yC —— 偏心点C的坐标;
β —— 边AC与已知边AB的水平夹角,当β和θ为右角时,式(4)取“-β”和“-θ”。
③ 圆柱偏心测量
圆柱偏心测量是单距离偏心测量的一个特殊情况,待测点P为某一圆柱形物体的圆心,如图3所示。观测时,全站仪安置在已知点A,并照准另一已知点B进行定向;然后,将反射棱镜设置在圆柱体的一侧C点,且使AC与圆柱体相切;输入圆柱体的半径R,并对偏心点C进行观测,仪器就会自动计算并显示待测点的坐标(xP,yP)或测站点至待测点的距离D和方位角αAB.其计算公式与单距离偏心测量相同,只不过用R和90°代替d和θ。

图3 圆柱偏心测量
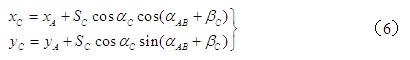
④ 双距离偏心测量
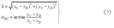
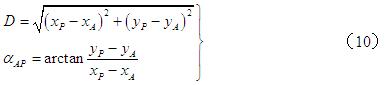
双距离偏心测量是利用专制的两点式棱镜(两棱镜的间距为一定值f,如SET500全站仪f为0.5m)方便有效地测定出隐藏点的点位。如图4所示,将全站仪安置在已知点A,并照准另一已知点B进行定向;然后将两点式棱镜对准待测点P(无须正交),分别测量D和C两点式棱镜并输入C点到待测点P的距离v(相当于棱镜高),仪器便可计算并显示待测点P的坐标(xP,yP)或测站点至P点的距离D和方位角αAP.

图4 双距离偏心测量
其具体计算公式为:
D点的坐标

C点的坐标

D、C间的平距k和方位角αAP

C、P间的平距d

P点的坐标

测站点到待测点的D和方位角αAP

式中 βC、βD —— 边AC和AD与已知边AB的水平夹角,当未知边AC和AD在已知边AB的右侧时,式中取“-βC”和“-βD”。
35.什么悬高测量?
答:所谓悬高测量,就是测定悬空点或人员难以接触和到达的点的高度。
悬高测量的原理如图5所示,A为仪器站,可以选择合适位置任意安置;B为棱镜站;M为待测悬高点;B、M两点必须在同一铅垂线上。

图5 悬高测量原理示意图
根据图形的几何关系可以推出M点到地面的高度H和M的高程HM:
![]()
![]()
36.什么是对边测量?
对边测量是指间接地测定远处两测点间的斜距、平距和高差。
对边测量可以连续测量第1个目标点(即起始点)与第2个、第3个……目标点之间的斜距、平距和高差。其原理如图6所示。

图6 对边测量原理示意图
在与P1、P2通视的任一点P上安置全站仪,首先观测P至P1、P2的斜距S1、S2,竖直角α1、α2,以及PP1至PP2间的水平夹角β,然后可由余弦公式计算P1P2的平距D和高差h:

37.双面水准尺红面底部起始数字一般为4687mm或4787mm,起什么作用?
答:用双面水准尺法进行水准测量时,有前视尺与后视尺之分,一个测点要同时读取一根水准尺的黑面和红面刻划的读数(包括前视尺与后视尺),这样可以相互校核,避免误读。同时前视尺与后视尺红面底部起始数字一个为4687mm,另一个为4787mm,也是防止误读的一个手段。
38.什么是测站点?
答:所谓测站点,即光学经纬仪对中的地面标志点。
使用仪器之前,首先要把经纬仪安置在设置有地面标志的测站点上,且需经对中、整平后方能使用。对中的目的是使仪器的中心与测站点的标志中心处于同一铅垂线上。整平的目的是使仪器的竖轴竖直,同时使水平度盘处于水平位置。
39.什么是平距、高差和坐标增量?
① 平距为两点投影到水平面上后点位的的距离,如图7中点P1、P2的平距为D.
② 高差是两点间高程之差,如图7中点P1、P2的高差为h.
③ 坐标增量是坐标的增加值。

图7 平距、高差示意图
40.平面放样方法中,什么是极坐标法?
答:极坐标法应用了数学中的极坐标原理,以某一控制点为极点,通过该控制点的某已知方向为极轴,通过测设一个角度和一段距离来确定地面点的平面位置。此法适用于量距方便,且欲放样的点距离控制点较近的情况。若采用全站仪放样则不受这些限制。
41.平面放样方法中,什么是直角交会法?
答:直角交会法应用了数学中的直角坐标原理,以确定待定点在地面上的平面位置。当施工场地建有彼此垂直的主轴线或建筑方格网,而待测设点离控制网的边线较近且便于量距,就可以用直角交会法来测设待定点位。
42.平面放样方法中,什么是角度交会法?
答:角度交会法应用了前方交会法的原理,用经纬仪从两个(或两个以上)控制点分别测设出两个(或两个以上)已知水平角的方向,交会出待定点的地面位置。该法适用于待测设点离控制点较远或量距较困难的地方。
43.平面放样方法中,什么是距离交会法?
答:距离交会法,放样点位是根据测设的两段距离交会出地面点的平面位置。该法适用于测设点处于距控制点的距离不超过一个尺段长度,且便于量距的地方。施工时,细部点的测设常用该法。如采用全站仪则不受距离长度的限制。
44.地球曲率为多少?
答:地球曲率取地球半径(6371km)的倒数。
45.什么是水准仪的i角?
答:水准仪的视准轴与水准轴一般既不在同一平面内,也不相互平行,而是两条空间直线,亦即它们在垂直面上和水平面上的投影都是两条相交的直线。在水平面上投影的交角称为φ角误差,也叫交叉误差;在垂直面上投影的交角就是i角误差。
水准测量的基本原理是根据水平视线在水准标尺上的读数,从而求得各点间的高差,而水平视线的建立又是借助于水准器气泡居中来实现的。因此,水准仪视准轴与水准轴必须满足相互平行这一重要条件,当视准轴与水准轴不能保持相互平行的关系,则水准器气泡居中时,视准轴势必不水平,最后将影响观测高差的正确性。但是,视准轴与水准轴相互平行的关系是难以绝对保持的,而且在仪器使用过程中,这种相互平行的关系也还会发生变化。
46.什么是尺长方程式?
答:钢尺由于材料原因、刻划误差、长期使用的变形以及丈量时温度和拉力不同的影响,其实际长度往往不等于尺上所标注的长度(即名义长度),因此,丈量前应对钢尺进行检定。
经过检定的钢尺,其长度可用长度方程式表示,即
![]()
式中 lt —— 钢尺在温度t时的实际长度;
l —— 钢尺的名义长度;
Δl —— 尺长改正数,即钢尺检定时的实际长度减去其名义长度;
α —— 钢尺的膨胀系数;
t —— 钢尺使用时的温度;
t0 —— 钢尺检定时的温度。
47.什么是最或是值?
答:最或是值,即算术平均值或似真值。

扫码了解并领取一建资讯及资料


46:32
49:58
51:50
49:32







