2012一级建造师《水利水电》正版考试用书增值服务第三次
《水利水电工程管理与实务》
2012年网上增值服务(3)
1.“1F413011掌握地基基础的要求”中需重点掌握的内容有哪些?
答:本节需重点掌握水工建筑物的地基分类,即分为岩基和软基两大类。水工建筑物对地基基础的基本要求与其他非水工建筑物区别主要是抗渗要求。
2.“1F413012掌握地基处理的方法”有哪些重点?
答:本节内容简洁,易于出题。
3.“1F413021掌握灌浆施工要求”中需重点掌握的内容有哪些?
答:本节需重点掌握的主要内容有:灌浆分类;灌浆机械设备的主要组成和主要名称;帷幕灌浆与固结灌浆的具体施工技术要求;高压喷射灌浆的具体施工技术要求。
4.深层搅拌防渗墙质量检测方法有哪些?
答:深层搅拌防渗墙质量检测方法包括开挖检验、取芯试验、注水试验及无损检测(地质雷达探测)等。
5.防渗墙的类型注意哪些内容?
答:注意根据图纸判断类型。
6.土可以用坚固系数进行分级吗?
答:不能。坚固系数全称为岩石的坚固性系数。由前苏联学者于1926年提出,又称普氏系数。岩石的坚固性区别于岩石的强度,强度值必定与某种变形方式(单轴压缩、拉伸、剪切)相联系,而坚固性反映的是岩石在几种变形方式的组合作用下抵抗破坏的能力。岩石坚固性系数f表征的是岩石抵抗破碎的相对值。f是个无量纲的值。岩石的坚固性系数(f)越低,表明岩石越容易破碎。
7.什么是“西北角分配法”?
答:是指用表上作业法解线性规划运输问题时,建立调运初始方案的一种方法。由于这种方法是从表的左上角(西北角)X11方格开始的,不考虑运输费用的因素,根据表内供应量与需求量的要求,进行分配,逐行逐列的予以满足,以达到供应与需求的调配平衡。因此称为西北角分配法。
8.什么是静态破碎剂?
答:凡经高温煅烧以氧化钙为主体的无机化合物,掺入适量外加剂共同粉磨制成的具备高膨胀性能的非爆破性破碎用粉状材料,称为无声破碎剂(SoundlessCrackingAgent,简称SCA),又称静态破碎剂(又名无声破石剂、裂石剂、膨胀剂、无声炸药)。
9.水利水电工程施工中常见模板类型及拆模时间有哪些要求?
答:水利水电工程施工中常见模板类型包括固定式、拆移式、移动式、滑升式以及混凝土及钢筋混凝土预制模板等。其适用范围见考试用书P94~96及相关规范。
拆模时间的掌握最重要的是不同的结构部位,对混凝土应具备的强度要求不同。
10.水工建筑物施工缝处理技术要求有哪些?
答:施工缝指浇筑块间临时的水平和垂直结合缝,也是新老混凝土的结合面。在新混凝土浇筑前,必须采用高压水枪或风砂枪将老混凝土表面含游离石灰的水泥膜(乳皮)清除,并使表层石子半露,形成有利于层间结合的麻面。对纵缝表面可不凿毛,但应冲洗干净,以利灌浆。采用高压水冲毛,视气温高低,可在浇筑后5~20h进行;当用风砂枪冲毛时,一般应在浇后一两天进行。施工缝面凿毛或冲毛后,应用压力水冲洗干净,使其表面无碴、无尘,才能浇筑混疑土。
11.水工大体积混凝土温控措施有哪些?
答:大体积混凝土温控措施主要有减少混凝土的发热量、降低混凝土的入仓温度、加速混凝土散热等。需要注意的是上述三项措施涉及混凝土施工的不同阶段,考试时应注意针对不同阶段相应的具体措施内容是有差别的,不要混淆。
12.“1F419000水利水电工程施工安全技术”中需重点掌握的内容有哪些?
答:本章与第二版相关章节相比,内容变化多。需重点掌握施工用电、高空作业、爆破作业及工地运输等容易产生安全隐患的各项作业中需注意的安全事项和规定。
13.简述“1F420000水利水电工程项目施工管理”的核心内容。
答:1F420000水利水电工程项目施工管理由两部分组成,第一部分是1F420010~1F420140,主要是水利水电工程项目管理方面与其他行业不同之处或有行业特点的一些管理规定,重点是水利部的相关规定;第二部分是1F420150水利水电工程项目施工的综合管理,主要是通过提供的一些案例题,来说明技术与管理的结合。
14.什么是水利工程建设程序的实质内容?
答:国家对于使用政府财政资金建设的水利工程建设项目,从立项到工程建设投入使用划分成若干阶段,在每个阶段又设置了一定工作程序和工作成果要求,从而保证投资的有效性,避免盲目投资,造成国家资金的损失,可以理解为建设程序的主要实质内容。
15.水利工程建设程序与水电工程建设程序一样吗?
答:工程建设尽管专业不同,但建设程序的核心内容是相同的,只是表述以及阶段划分不同。水利工程与电力行业的水电工程建设程序划分基本相同,但有关内容的表述上有不同。本书仅介绍水利工程建设程序,考试也仅考水利工程建设程序的内容。
16.目前水利工程进行施工准备应具备的条件有变化吗?
答:书上介绍的有关文件条件要求是1995年的规定,目前已经有改变,主要是取消了办理报建手续,详见书147页倒数第五行。
17.有水利工程建设项目管理“四项”制度的说法吗?
答:“四项”制度是指项目法人责任制、招标投标制、建设监理制、合同管理制,但水利工程建设管理常说的是项目法人责任制、招标投标制、建设监理制(简称“三项”制度)。
18.水利工程建设的项目法人责任制有具体的实施管理文件吗?
答:对于经营性水利工程,水利部1995年颁布了《水利工程建设项目管理实行项目法人责任制的若干意见》。但对于非经营性水利工程,项目法人责任制方面的管理文件,目前尚未见如同招标投标、建设监理方面那样具体的管理文件。
19.水利工程建设稽查与工程质量监督主要区别在哪里?
答:水利工程建设稽查的对象是国家拨款建设的工程建设项目,工程质量监督的对象是所有工程建设项目;水利工程建设稽查是工程建设全过程,即建设程序的整个过程,工程质量监督是工程建设实施以及竣工验收阶段。
20.劳务分包企业可以直接参加工程施工投标吗?
答:不可以。劳务分包企业的“分包”,就是指只能从总承包或专业承包企业承包的工程中分包有关劳务作业。
21.有关招标投标方面的规定较多,考试如何办?
答:规定较多,但基本上是大同小异。考试时,应当注意“小异”的地方,考什么专业,就按该专业的要求进行答题。
22.水利工程建设项目招标工作程序的关键词是什么?
答:如果有关键词的话,可以尝试归纳为:备案、指定媒体、媒体时间、截止时间、编制时间、总结报告、中标。
23.《中华人民共和国招标投标法实施条例》已经颁发,《水利工程建设项目招标投标管理规定》准备修改吗?
答:据了解,管理规定准备修改。考试应当避免与条例冲突的内容。
24.考试用书第13页,上层滞水与潜水有什么区别?
答:
上层滞水,简称上滞水,是指包气带内局部隔水层之上积聚的具有自由水面的重力水。
潜水,是指地面以下,第一个稳定隔水层以上具有自由水面的水。
简单而言,潜水比较稳定,范围比较大;上层滞水不够稳定,范围较小(见图14.1)。

图14.1地下水埋藏示意图
25.考试用书第13页,什么是岩土的给水性?
答:指在重力作用下饱水岩土从孔隙中能自由流出一定水量的性能,以给水度表示(在常压下饱水岩土在重力作用下流出来的水体积与该岩土总体积之比)。
26.考试用书第13页,什么是自然(物理)地质现象?
答:物理地质现象是内外地质动力作用对地壳表层岩土体综合作用的产物,如地震、边坡变形与破坏、地面塌陷、泥石流、冲沟、岩溶等。这些现象是岩土工程条件中最活跃的因素。
27.轻型井点降水和管井降水有何不同?
答:管井降水,是在基坑周围布置一些单独工作的管井,地下水在重力作用下流入井中,用抽水设备将水抽走(见图17.1)。

图17.1管井降水布置示意图
轻型井点是一个由井管、集水总管、普通离心式水泵、真空泵和集水箱等组成的排水系统,如图17.2所示。地下水从井管下端的滤水管凭借真空泵和水泵的抽吸作用流入管内,汇入集水总管,流入集水箱,由水泵排出。

图17.2轻型井点降水布置示意图
两者的主要区别在于:①管井是单独作用的排水设备,轻型井点则是一个排水系统;②管井排水中地下水在重力作用下进入管井,轻型井点排水中地下水由其他设备的抽吸作用流入井管。
28.什么是基本烈度?
答:地震烈度是指某一地区的地面和建筑物遭受一次地震影响的强弱程度。烈度的工程意义是作为抗震设防的标准,常分为基本烈度和设计烈度。
基本烈度是指一个地区在今后100年内,在一般场地条件下可能遇到的最大地震烈度。
29.通用硅酸盐水泥包括哪些水泥?
答:硅酸盐水泥、普通硅酸盐水泥、矿渣硅酸盐水泥、火山灰硅酸盐水泥、粉煤灰硅酸盐水泥和复合硅酸盐水泥。
30.什么是水泥的安定性?
答:水泥的安定性即体积安定性,是指水泥在凝结硬化过程中体积变化是否均匀的性质。
水泥浆体在硬化过程中体积发生不均匀变化时导致的膨胀开裂、翘曲等现象,称为体积安定性不良。安定性不良的水泥会使混凝土构件产生膨胀性裂缝,从而降低建筑物质量,甚至引起严重事故。
31.混凝土的抗冻性是否用循环次数表示?
答:混凝土的抗冻性是指混凝土在水饱和状态下,经受多次冻融循环作用,能保持强度和外观完整性的能力。
混凝土抗冻性一般以抗冻等级表示。抗冻等级是采用慢冻法,以龄期28d的试块在吸水饱和后,承受反复冻融循环,以抗压强度下降不超过25%,而且质量损失不超过5%时所能承受的最大冻融循环次数来表示。
混凝土抗冻等级划分为:F50、F100、F150、F200及F300等,分别表示混凝土能够承受反复冻融循环次数为50、100、150、200和300次等。
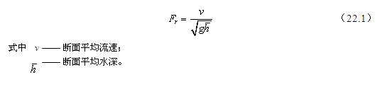
32.什么是弗汝德数?
答:弗汝德数(Froudenumber),流体力学中表征流体惯性力和重力相对大小的一个无量纲参数,记为Fr.在水力学中,用下式表示:

建设工程教育网整理

扫码了解并领取一建资讯及资料


46:32
49:58
51:50
49:32







