2013年造价工程师《计价与控制》每日一练(1.22)
某建设项目,经投资估算确定的工程费用与工程建设其他费用合计为2000万元,项目建设期为2年,每年各完成投资计划50%.基本预备费率为5%,年均投资价格上涨率为10%,项目建设前期1年。该项目建设期的涨价预备费为( )万元。
A.300.0
B.310.0
C.315.0
D.443.88
【正确答案】:D
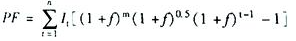
【答案解析】:涨价预备费的计算公式为:![]()
计算计划投资额=2000×(1+5%)=2100万元
计算出各年投资额:I1=I2=2100×50%=1050万元
套用公式计算各年的涨价预备费:
PF1=1050×[(1+10%)×(1+10%)0.5-1]=161.37(万元)
PF2=1050×[(1+10%)×(1+10%)0.5×(1+10%)1-1]=282.51(万元)
PF=105+220.5=443.88(万元)
因此,正确选项为D.
【该题针对“预备费”知识点进行考核】
建设工程教育网原创·转载请注明出处

扫码了解并领取一造资讯及资料













