2010年一级建造师《工程经济》资料:现金流量计算
若10年内每年年初存款2000元,年利率为6%,按复利计,第10年年末本利和为多少元?若想在第4年年末取款9725元,年利率为6%,按复利计,从现在起4年内每年年初应存入银行多少元?
答:考试用书只在1Z101072中设备租金计算方法——年金法“有期初流量”计算情形,见计算式(1Z101072-4),除此之外,一律按期末流量计算。因为等值计算公式的推导是依据现金流量图进行的,而等额支付系列现金流量图中年金A是发生在(或折算为)某一特定时间序列各计息期末(不包括零期)的等额资金序列的价值。
(1)对于等额支付系列期初现金流量年金Ab,其计算终值Fb的计算式如下:

若10年内每年年初存款2000元,利率为6%,按复利计,第10年年末本利和由上式计算为27943.29元。
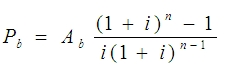
(2)对于等额支付系列期初现金流量年金Ab,其计算现值Pb的计算式如下:

若年利率为6%,按复利计,想在第4年年末取款9725元,从现在起4年内每年年初应存入银行2097.22元。
建设工程教育网整理

扫码了解并领取一建资讯及资料


46:32
49:58
51:50
49:32







