2023年一级造价师如何进行备考?一造工程计价要看哪些知识点?为了帮助同学们做好预习工作,小编整理了一级造价师工程计价预习知识点,希望对你们有所帮助!

一级造价师工程计价预习知识点:建设期利息
建设期内发生的为工程项目筹措资金的融资费用及债务资金利息。

当总贷款分年均衡发放,当年借款在年中支用考虑,即当年贷款只计半年利息,而以前年度的本利和则按全年计息。
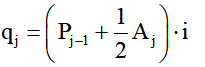
式中
qj——建设期第j年应计利息;
Pj-1——建设期第(j-1)年末累计贷款本金与利息之和;
Aj——建设期第j年贷款金额;
i ——年利率。
国外贷款利息的计算,年利率应综合考虑:
■ 银行按照贷款协议向贷款方加收的手续费、管理费、承诺费;
■ 国内代理机构向贷款方收取的转贷费、担保费、管理费等。
【2021年·单选】新建项目建设期为2年,第一年贷款1200万元,第二年贷款1800万元。假设贷款在年内均衡发放,年利率为10%,建设期内贷款只计息不支付。该项目建设期第二年应计贷款利息为( )万元。
A.210
B.216
C.300
D.312
『正确答案』B
『答案解析』本题考查的是建设期利息。第一年利息:1200×1/2×10%=60(万元),第二年:(1200+60+1800×1/2)×10%=216(万元)。
- · 【王英老师】2026年一级造价师土建案例零基础预习新课开通!
- · 【新课开通】2025年一级造价师教材精讲新课开通!一起来学!
- · 【VIP至尊班专属】2025年一级造价师《基础先修》直播限时免费
- · 【王英老师】2025年一级造价工程师土建案例零基础预习免费试听
- · 【王英老师】2025年一级造价工程师土建案例零基础预习免费试听
- · 2024年一级造价师教材精讲课程已开通 免费试听!
- · 2024一级造价师VIP特训营专属课程《基础先修》直播课表
- · 2024年一级造价师备考资料加油包来啦!手把手带你学造价
- · 2024年一级造价师备考资料加油包来啦!手把手带你学造价
- · 一级造价师《土建计量》考情分析:努力一定要找对方向





![[em2_01]](https://live.cdeledu.com/web/images/emoji/01.png)
![[em2_02]](https://live.cdeledu.com/web/images/emoji/02.png)
![[em2_03]](https://live.cdeledu.com/web/images/emoji/03.png)
![[em2_04]](https://live.cdeledu.com/web/images/emoji/04.png)
![[em2_05]](https://live.cdeledu.com/web/images/emoji/05.png)
![[em2_06]](https://live.cdeledu.com/web/images/emoji/06.png)
![[em2_07]](https://live.cdeledu.com/web/images/emoji/07.png)
![[em2_08]](https://live.cdeledu.com/web/images/emoji/08.png)
![[em2_09]](https://live.cdeledu.com/web/images/emoji/09.png)
![[em2_10]](https://live.cdeledu.com/web/images/emoji/10.png)
![[em2_11]](https://live.cdeledu.com/web/images/emoji/11.png)
![[em2_12]](https://live.cdeledu.com/web/images/emoji/12.png)
![[em2_13]](https://live.cdeledu.com/web/images/emoji/13.png)
![[em2_14]](https://live.cdeledu.com/web/images/emoji/14.png)
![[em2_15]](https://live.cdeledu.com/web/images/emoji/15.png)
![[em2_16]](https://live.cdeledu.com/web/images/emoji/16.png)
![[em2_17]](https://live.cdeledu.com/web/images/emoji/17.png)
![[em2_18]](https://live.cdeledu.com/web/images/emoji/18.png)
![[em2_19]](https://live.cdeledu.com/web/images/emoji/19.png)
![[em2_20]](https://live.cdeledu.com/web/images/emoji/20.png)






扫一扫立即下载
扫码添加老师