关键工作和关键线路典型例题二
例题2:[背景材料] 某工程项目施工采用《施工合同条件》,工期为15个月。承包方投标所报工期为13个月。合同总价确定为8000万元。合同约定:实际完成工程量超过估计工程量25%以上时允许调整单价;拖延工期每天赔偿金为合同总价的1‰。最高拖延工期赔偿限额为合同总价的10%;若能提前竣工,每提前1天的奖金合同总价的1‰计算。
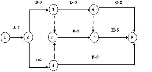
承包方开工前编制并经总监理工程师认可的施工进度计划如下图所示。

施工过程中发生了以下4个事件,致使承包人完成该项目的施工实际用了15个月。
(1)事件1:A.C两项工作为土方工程,工程量均为16万m3,土方工程的合同单价为16元/ m3。实际工程量与估计工程量相等,按计划进行4个月后,总监理工程师以设计变更通知发布新增土方工程N的指示。该工作的性质和施工难度与A.C工作相同,计划持续时间4个月,工程量为32万 .N工作在B和C工作完成后开始施工,且为H和G的紧前工作。总监理工程师与承包单位依据合同约定协商后,确定的土方变更单价为14元/ m3。承包单位按计划用4个月完成。3项土方工程均租用1台机械开挖,机械租赁费为1万元/(月·台)。由于承包人的原因,N工作实际用了4.5个月。
(2)事件2:F工作,因设计变更等待新图纸延误1个月。
(3)事件3:C工作由于连续降雨累计1个月导致实际施工3个月完成,其中0.5个月的日降雨量超过当地30年气象资料记载的最大强度,按合同专用条款的界定为风险事件。因降雨1个月导致施工机械停工1个月。
(4)事件4:H工作由于分包单位施工的工程质量不合格造成返工,实际5.5个月完成。
由于以上事件,承包单位提出以下索赔要求:
(1)顺延工期6.5个月。理由是:完成N工作4个月;变更设计图纸延误1个月;连续降雨属于不利的条件和障碍影响1个月;监理工程师未能很好地控制分包单位的施工质量应补偿工期0.5个月。
(2)N工作的费用补偿=16元/ m3×32万m3=512万元。
(3)由于第5个月后才能开始N工作的施工,要求补偿5个月的机械闲置费5月×1万元/(月·台)=5万元。
根据上述背景材料,回答下列第1~3小题:
第1小题.关于机械设备闲置时间说法中,正确的选项是( )。
A.按照原进度计划安排,土方机械闲置时间为0
B.按照现在的进度计划,土方机械闲置时间为0
C.按照原进度计划安排,土方机械闲置时间为2个月
D.按照现在的进度计划,土方机械闲置时间为1个月
E.按照现在的进度计划,土方机械闲置时间为2个月
【正确答案】AD
【答案解析】按照原计划,土方机械完成A的施工后立即进行C的施工,因此,闲置时间为0;按照现在的进度计划,需B、C完工后才能进行N,而B的工期3个月,C的工期2个月,因此,A、C均施工完成后,还需要土方机械闲置1个月,方能进行N的施工。
关键工作指的是网络计划中总时差最小的工作。当计划工期等于计算工期时,总时差为零的工作就是关键工作。在双代号网络计划和单代号网络计划中,关键路线是总的工作持续时间最长的线路。
第2小题.上述施工进度网络计划中,关键线路为( )。
A.①~②~③~⑥~⑦~⑧
B.①~②~③~⑤~⑦~⑧
C.①~②~④~⑤~⑦~⑧
D.①~②~④~⑤~⑦~⑥~⑧
E.①~②~④~⑧
【正确答案】AE
【答案解析】对于这种线路不复杂的网络图,可以采用枚举法计算各条线路长。其中最长线路即关键线路:
①~②~③~⑥~⑧:2+3+3+2=10
①~②~③~⑤~⑦~⑧:2+3+2+5=12
①~②~③~⑥~⑦~⑧:2+3+3+5=13
①~②~④~⑤~⑦~⑧:2+2+2+5=11
①~②~④~⑧:2+2+9=13
故关键线路为:①~②~③~⑥~⑦~⑧和①~②~④~⑧
第3小题.下列说法正确的是( )。
A.A是关键工作
B.C是关键工作
C.F是关键工作
D.F是非关键工作
E.H是非关键工作
【正确答案】ADE
【答案解析】根据本大题第小2题确定的关键线路,可以确定A、C、F、B、D、H均为关键工作。
关键工作指的是网络计划中总时差最小的工作。当计划工期等于计算工期时,总时差为零的工作就是关键工作。在双代号网络计划和单代号网络计划中,关键路线是总的工作持续时间最长的线路。位于关键线路上的工作是关键工作。
【上一页】
责任编辑:zoe

扫码了解并领取一建资讯及资料


46:32
49:58
51:50
49:32







